Proveržis skaičiuojant skaidinius
Daugelį garsūs matematikai bandė suprasti sveikų skaičių skaidinių, esančių sudėties ir atimties pagrindu, kiekio klausimus. Bet jų darbai tik iškeldavo dar daugiau klausimų. Ir vienas kūrybinių nušvitimų atėjo Emory universiteto1) matematikų Ken Ono2) ir Zach Keno3) pasivaikščiojimo metu 2010 m. rugsėjį prie šiaurės Džordžijos Tallulah krioklių4), kai jie pastebėjo dėsningumus medžių guotuose ir ėmė galvoti, kad tarsi pasivaikščiojimas(JAV) tarp skaičių skaidinių.
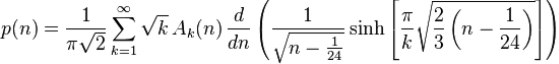
K. Ono kūrybinė komanda nustatė, kad skaidinių kiekiai elgiasi tarsi fraktalai. Ji sukūrė teoriją, kad parodytų jų be galo pasikartojančią superstruktūrą ir išvedė pirmąją baigtinę formulę, leidžiančią paskaičiuoti bet kokio skaičiaus skaidinių kiekį.
Iš pirmo žvilgsnio, skaičių skaidiniai atrodo tarsi matematinis vaikiškas žaidimas. Sveiko skaičio skaidinys  tai būdas išreikšti skaičių teigiamų skaičių suma. Pvz., 4=3+1=2+2=2+1+1=1+1+1+1. Tad skaičius 4 turi 5 skaidinius.
Atrodo paprasta, tačiau skaidinių kiekis auga labai sparčiai. 10 turi 42 skaidinius, o 100 skaidinių kiekis yra jau per 190 mln.
18 a. L. Oilerio darbai leido gauti pirmąją rekursyvų būdą skaidinių kiekiui paskaičiuoti. Metodas buvo lėtas ir nepraktiškas dideliems skaičiams. Per 150 m. juo paskaičiuoti tik pirmųjų 200 skaičių skaidiniai.
20 a. pradžioje savamokslis indas Srinivasa Ramanudžanas5) (1887-1920), bendraudamas anglų matematiku G.H. Hardy6), atrado žiedinį metodą, duodantį gerą aproksimaciją skaičiams, didesniems už 200. Be to Ramanudžanas pastebėjo kai kuriuos keistus dėsningumus skaidinių kiekiuose. 1919 m. jis rašė: Atrodo, kad yra savybių pagal kurias moduliai yra 5, 7 ar 11 laipsniai... ir nėra paprastų savybių bet kuriam moduliui, kurie įtrauktų kitus pirminius skaičius nei tie trys.
Tačiau legendinis indų matematikas mirė būdamas 32 m. amžiaus taip ir nepaaiškinęs, ką norėjo pasakyti tuo mįslingu teiginiu (dabar tai vadinama Ramanudžano kongruencijomis).
1937 m. Hansas Rademačeris7) surado tikslią formulę skaidinių paskaičiavimui. Tačiau jis reikalavo, kad be galo būtų sudedami skaičiai su daug reikšmių po kablelio. Ir vėliau matematikai bandė spręsti šiuos klausimus, tačiau negalėjo nei suprasti Ramanudžano paslaptingų žodžių, nei rasti baigtinę formulę skaidinių kiekio paskaičiavimui.
Fraktalo terminą 1980 m. įvedė Benoitas Mandelbrotas8) apibūdindamas gamtos formų geometrijos nereguliarumus. Įsižiūrėjus į formas gamtoje, pastebimi pasikartojantys dėsningumai. Ir fraktalai ne tik kad žavūs, bet ir turi didelę praktinę naudą įvairiose srityse  nuo meno iki medicinos.
K. Ono kūrybinė komandos teorija atskleidė naują fraktalų klasę, leidžiančią paaiškinti Ramanudžano kongruencijas. Komanda taip pat parodė, kad kiekvienam pirminiam skaičiui skaidinių kiekiai yra fraktalinės prigimties  sekos yra periodinės ir kartojasi tiksliai periodais. Tai tarsi Mandelbroto fraktalų išdidinimas.
Galutinį tašką teorijai padėjo padaryti Atlantos spūstys. Tai įvyko netoli kitos Džordžijos valstijos įžymybės Spageti transporto mazgo9). K. Ono su Jan Bruinieru įstrigo spūstyje netoli jo. Automobilyje jie ėmė kalbėtis ir apie Rademačerio metodo sudėtingumo įveikimą. Jie siekė gauti formulę, kurioje tebūtų tik baigtinis žingsnių skaičius. Taip jie rado formulę, kurią pavadino P. Jų rezultatai atspindėti dviejuose AIM10) svetainėje paskelbtuose straipsniuose (lokalios kopijos):
- K. Ono.The partition Function and Hecke Operators
- A. Folsom, Z.A. Kent, K.Ono. l-adic Properties of the Partition Function
Skaitykite: Pinavija  kelius vija
1) Emory universitetas - privatus mokslo tiriamasis universitetas Atlantoje, JAV Džordžijos valstija. 1836 m. nedidelės metodistų grupelės įsteigtas Oksfordo (metodistų judėjimo įkūrėjai John ir Charles Wesley buvo baigę Oksfordo un-tą) miestelis su koledžu ir pavadintas metodistų vyskupo Džono Emory garbei. 1915 m. paremtas Coca-Cola prezidento persikelia į Atlantos priemiestį ir įgauna universiteto status. Šiuo metu jame yra 9 akademinės mokyklos ir koledžai. 2010 m. užėmė 20-ą vietą JAV mokymo įstaigų reitinge ir 61-ą  pasaulyje. Universiteto misija yra kurti, išsaugoti, mokyti ir taikyti žinias žmonijos naudai.
2) Kenas Ono (Ken Ono, g. 1968)  JAV matematikas, kurio specializacija yra skaičių teorija su ypatingu dėmesiu skaičių skaidiniams, moduliarinėms formoms ir S. Ramanudžano palikimui. Paskutiniu metu dirba Emory un-te.
Jo tėvas Takaši Ono irgi buvo matematiku. Daktaro laipsnį 1989 m. apsigynė Čikagos un-te. 2012 m. tapo AIM nariu. Gavo daugybę apdovanojimų. Nusifilmvo 2013 m. dokumentinėje juostoje Srinivaso Ramanudžano genijus.
2011 m. kartu su Jan Bruinieru išvedė baigtinę formulę skaidinių kiekio suradimui. Su kolegomis sukūrė metodus Rodžerso-Ramanudžano lygtims spręsti.
Užsiėmė dviračių sportu, o nuo 2012 m. dalyvauja triatlono varžybose su JAV komanda.
3) Zachas Kentas (Zachary A. Kent - amerikiečių matematikas, dirba Emory universitete. Tyrimų sritys: skaičių teorija, moduliarinės formos, p-adinė analizė, elipsinės kreivės, formaliosios grupės, skaičių skaidiniai.
Daktaro disertaciją p-adinės formos ir netikros moduliarinės formos apsigynė 2010 m. Havajų universitete.
4) Talula tarpeklis - Talula upės per Talula kalnagūbrį išgraužtas tarpeklis Džordžijos valstijo (JAV) šiaurėje. Jis yra apie 3 km ilgio, o sienos iškyla ili 300 m. Jame gausu krioklių. Laikomas vienu iš 7 Džordžijos gamtos stebuklų. Tallulah indėnų čoktau kalboje reiškia šokantis vanduo.
Nuo 19 a. pradžios Talula tarpeklis su jo kriokliais buvo turistų traukos centru, o 1882 m. nutiesus geležinkelį jo pasiekiamumas dar labiau padidėjo. 1913 m. pastačius užtvanką krioklių kriokimas aptilo Ir turistų srautas prie jų išblėso.
5) Srinivasa Ramanudžanas (Srinivasa Ramanujan, 1887-1920)  garsus indų matematikas, kuris, neturėdamas matematinio išsilavinimo, padarė stulbinamų atradimų skaičių teorijoje. Ypač įsidėmėdinas skaičių skaidinių asimptotikos nustatymas.
Ramanudžanas pasakojo, kad sapnavo kraujo lašus, simbolizuojančius Namadžirės vyrą Narasimhą, o tada regėdavo rankraščius su sudėtingomis matematikos formulėmis.Gimė Indijos pietų mažame miestelyje (dabar Chennai) tamilų buhalterio šeimoje. Motina buvo labai religinga (šeima priklausė vaišnavitų Thenkalai sektai) ir Ramanudžanas buvo auklėjamas pagal griežtas brahmanų kastos tradicijas. Jau mokykloje išryškėjo nepaprasti gabumai matematikai. Jis nustatė Oilerio formulę apie sinusą ir kosinusą ir labai nuliūdo sužinojęs, kad ji jau paskelbta. Šešiolikmečiui į rankas pateko Š. Karo dvitomis Elementariųjų grynosios ir taikomosios matematikos pasiekimų rinkinys su 6165 teoremų ir formulių, pateiktų be įrodymų. Jis įsigilino į jas ir tokiu būdu susiformavo jo savitas mąstymo stilius. Kadangi niekuo daugiau be matematikos nesidomėjo, niekad nestudijavo jokiame universitete ir gyveno skurdžiai.
1913 m. Kembridžo un-to profesorius G. Hardy gavo keistą laišką, kuriame siuntėjas sakėsi nebaigęs universiteto, o matematika užsiima savarankiškai. Prie laiško buvo pridėtos formulės, kurias, jei jos įdomios, buvo prašoma paskelbti, nes jis pats yra vargšas ir tam neturi lėšų. Tarp jų užsimezgė intensyvus susirašinėjimas kurio metu pas G. Hardy atsidūrė apie 120 naujų formulių. G. Hardy rūpesčiu 27-metis Ramanudžanas atvyksta į Kembridžą, jį priima į Londono Karališkąją draugiją, spausdinami darbai kelia nuostabą. Daugelis to meto matematikų Ramanudžaną laikė egzotišku reiškiniu, pavėlavusiu gimti šimtu metų.
Būnant silpnos sveikatos, būklė Anglijoje dar pablogėjo (gal dar ir dėl vegetariško maisto trūkumo Pirmojo pasaulinio karo metu), jam diagnozuota tuberkuliozė ir vitaminų trūkumas. Jis 1919 m. grįžo į Indiją ir netrukus mirė.
Jis užsiėmė plačiu klausimų ratu: magiški kvadratai, apskritimo kvadratūra, begalinės eilutės, glotnūs skaičiai, skaičių skaidiniai, hipergeometrinės funkcijos, specialios sumos ir funkcijos (dabar vadinamos jo vardu), apibrėžtiniai integralai, moduliarinės funkcijos. Jis atrodo kelis sprendinius Oilerio lygtims (uždavinys apie 4 kubus), suformulavo apie 120 teoremų (daugiausia sudėtingų tapatybių srityje). Jis yra laikomas geriausiu grandininių trupmenų žinovu  vienu įdomesnių išraiškų yra eilutė, lygi kvadratiniai šakniai, į kurią įeina e ir p sandauga:

Žinomas su juo susijęs ir plačiai matematikų tarpe paplitęs anekdotas apie skaičių 1729 (žr. >>>>>), rodantis, kad jis užsiėmė ir elipsinėms kreivėms artimomis temomis.
Tiesa, jis nuėjo ne tuo keliu, kuris A. Vailsui padėjo įrodyti didžiąją Ferma teoremą, o atrado gerokai sudėtingesnį objektą. Kai to tipo objektai buvo (iš naujo) atrasti po 40 m., jie pavadinti K3 paviršiais (E. Kummer, E. Kähler ir K.Kodaira matematikų garbei, o taip pat su užuomina į K2 kalną, į kurį sunku įlipti [ K2  antrasis pagal aukštį kalnas (8,611 m) ties Kinijos ir Pakistano siena ]  nes K3 paviršius irgi sunku analizuoti matematiškai).
Matematikai elipsinės kreivės lygčiai y2=x3+ax+b ieško ne tik sveikų skaičių (kas aktualu didžiajai Ferma teoremai), bet ir racionalių skaičių sprendinio (x, y). 2014 m. M. Bhargavai11) buvo skirtas Fieldso medalis už progresą šioje srityje. Jis parodė, kad dauguma elipsinių kreivių patenka į vieną iš gana paprastų klasių: 1) turinčių gana daug, bet baigtinį skaičių sprendinių; 2) yra begalinis skaičius racionalių sprendinių, tačiau visus juos galima išvesti iš vieno sprendinio. Sistemiškai atrasti lygtis su tokiais koeficientais, kad sprendiniai būtų sudėtingesni (pvz., sugeneruojami iš 2 ar 3 sprendinių) šansai labai maži. Tam reikia kitokių metodų.
Ir čia pasisukame į Ramanadžaną, kurio darbai su K3 paviršiais parodė būdą, leidžiantį sugeneruoti be galo daug minėtų elipsinių kreivių (t.y., kurių sprendiniai generuojami iš 2 ar 3 sprendinių). Tai nėra pirmasis metodas, leidžiantis padaryti, tačiau jis nereikalauja didelių pastangų. Tai nustatė K. Ono ir jo mokinė S. Trebat-Leder.
Bet čia išnyra ir dar vienas įdomus sąryšis su kvantine mechanika. Anot stygų teorijos, mūsų pasaulis yra daugiau nei 3 matavimų. Papildomi matavimai yra suvynioti į mažytes erdves, turinčias savitą geometrinę struktūrą  vadinamąsias Calabi-Yau daugdaras. O jų viena paprasčiausių klasių yra K3 paviršiai.
6) Gofris Haroldas Hardis (Godfrey Harold Hardy, 1877-1947)  anglų matematikas, dirbęs skaičių teorijos ir matematinės anaizės srityse.
Gimė pietų Anglijoje nedidelio miestelio mokytojų, turėjusį pomėgį matematikai, šeimoje. Matematiniai sugebėjimai išryškėjo jau 2 m. amžiuje. 1896 įstojo į Kembridžo un-to Trinity koledžą, o 1900 m. tampa jo darbuotiju. 1919 m. užima profesoriaus Oksforde, o 1931 m. grįžta į Kembridžą, kur profesoriauja iki 1942 m. Nuo 1910 m. buvo Londono Karališkos draugijos nariu.
Buvo linkęs dirbti grynosios matematikos, o ne Anglijoje paplitusios taikomosios, ypač karinėje srityje, srityje: Niekada nedariau nieko, kas naudinga. Skaičių teorijoje užsiėmė pirminiais skaičiais ir dzeta-funkcijų teorija, o taip pat Varingo problema. Kartu su Litlvudu įrodė kelis tarpinius rezultatus bei suformulavo dvi svarbias hipotezes apie pirminių skaičių pasiskirstymą (žr. Pirmasis Hardy-Littlewood teiginys). Su M. Raitu rado du uždavinio apie 4 kubus sprendinius. Daug dėmesio nuo 1914 m. skyrė darbui su Ramanudžano iškeltais klausimais.
Funkcijų teorioje užsiėmė trigonometrinių eilučių teorija ir nelygybių tyrinėjimu. Dalis darbų skirta integralinių pertvarkymų ir lygčių teorijai.
Jo vardas suteiktas Hardžio-Vainbergo dėsniui populiacinėje genetikoje. Žinoma jo esė apie matematikos estetiką Matematiko apologija (1940).
Buvo aistringas kriketo žaidėjas. Religijos atžvilgiu buvo ateistas. Buvo labai drovus, socialiai uždaras, pasižymėjo ekscentrišku elgesiu. Netgi baiminosi savo atvaizdo veidrodyje  sakoma, kad viešbučiuose visus veidrodžius uždengdavo rankšluosčiais. Ir visą gyvenimą liko viengungiu.
Kartą B. Raselui jis pareiškė: Jei galėčiau logiškai įrodyti, kad mirsite po 5 min., man būtų labai gaila, kad jūs turėsite mirti, tačiau mano liūdesį užgožtų įrodymo malonumas.
7) Hansas Rademačeris (Hans Adolph Rademacher, 1892-1969)  vokiečių matematikas, žinomas darbais matematinės analizės ir skaičių teorijos srityse.
Daktaro laipsnį apsigynė 1916 m. Getingeno un-te. 1934 m. emigravo į JAV, kur iki 1962 m. dirbo Pensilvanijos un-te. Atliko tyrimus analitinėje skaičių teorijoje, matematinėje genetikoje, realaus kintamojo funkcijų analizėje bei kvantinėje teorijoje. Pabrėžtinas
Dedekindo sumų teorijos išvystymas. 1937 m. atrado tikslią konverguojančią eilutė skaičių skaidinių kiekio paskaičiavimui.
8) Benua Mendelbrotas (Benoit B. Mandelbrot, 1924-2010)  prancūzų ir žydų kilmės amerikiečių matematikas, sukūręs fraktalų geometriją; Colfo vardo fizikos premijos laureatas (1993).
Gimė Varšuvoje žydų iš Lietuvos šeimoje. Motina Bela Lurjė buvo gydytoja, o tėvas Karlas  galanterininku. 1936 m. šeima emigravo į Paryžių, kur Benua patyrė matematiko dėdės Šolemo Mendelbroito, priklaususio Nikolos Burbaki grupei, įtaką. Per karą šeima pasitraukė į Prancūzijos pietus, kur atsiskleidė Benua matematikos dovana  jis turėjo puikia erdvinę vaizduotę. Net algebros uždavinius jis sprendė geometriniu būdu. Jo sprendimų originalumas leido jam įstoti į universitetą, kurį baigęs persikėlė į JAV, kur baigė CALTechą. Grįžęs į Prancūziją 1952 m. Paryžiaus un-te apsigynė daktaro disertaciją. 1958 m. galutinai persikėlė į JAV ir ėmė dirbti IBM tyrimų centre. Čia, pradirbęs 35 m., jis nutolo nuo grynai taikomųjų IBM u-davinių ir darbavosi lingvistikos, žaidimų teorijos, ekonomikos, aeronautikos, fiziologijos, astronomijos, fizikos srityse. 1987 m. paliko IBM, kai kompanija nusprendė nutraukti grynai teorinius tyrimus. Jis perėjo į Jeilio un-tą.
Fraktalų teorijos užuomazgos buvo susijusios su medvilnės kainų statistikos tyrimais. Jis sugebėjo įžvelgti simetriškumą atrodančiame atsitiktiniame jų šokinėjime. Jis 1975 m. ir sugalvojo fraktalo terminą (nuo lot. fractus - sulaužytas, sudaužytas. Jis aiškino, kad atrodantys chaotiški gamtos reiškiniai (pvz., debesys ar bangų mūša) iš tikrųjų turi vidinę tvarką.
Fraktalus, vadinamus Julia aibėmis, jis ėmė tirti būdamas vizituojančiu Harvardo un-to profesoriumi. Jis panaudojo kompiuterius Julia aibių braižymui. 1979 m. jis atrado fraktalą, dabar turintį jo vardą. 1982 m. jis savo idėjas išplėtojo knygoje Gamtos fraktalinė geometrija.
Jo vardu pavadintas asteroidas 27500.9) Tomo Morelando transport mazgas yra 85 ir 285 kelių sankryža Džordžijos šiaurėje, į šiaurės rytus nuo Atlantos (JAV).
10) Amerikos matematikos institutas (AIM) įkurtas 1994 m. verslininko ir matematikos entuziasto John Fry ir šiuo metu randasi Palo Alto (Kalifornija). Jo misija yraskleisti matematikos žinias per bendradarbiavimą, platesnį dalyvavimą matematiniuose reikaluose ir didinti matematikos indėlį į visuomenės gyvenimą. Nuo 2002 m. jis yra NSF dalimi ir gauna NSF finansavimą.
11) Mandžulas Bhargava (Manjul Bhargava, g. 1974 m.)  indų kilmės Kanados ir JAV matematikas, daugiausia dirbęs skaičių teorijos srityje; Fieldso medalio laureatas (2014) už galingų naujų metodų sukūrimą skaičių geometrijoje, kuriuos pritaikė žemo rango žiedams skaičiuoti ir nustatyti vidutinį elipsinių kreivių rangą. 2015 m. su A. Šankuru įrodė, kad dideliai daliai elipsinių kreivių yra teisingas Birch ir Swinnerton-Dyer teiginys, esantis Tūkstantmečio problemų sąraše.
Susipažinkite su Bhargavos darbų darbų esme.
Jis gerai groja tabla instrumentu, iš senelio išmoko sanskritą ir žavisi sanskrito poezija.Skaičių skaidiniai
Sveiko skaičio skaidinys  tai būdas išreikšti skaičių teigiamų skaičių suma. Pvz., 4=3+1=2+2=2+1+1=1+1+1+1. Tad skaičius 4 turi 5-is skaidinius (imami tik skirtingų skaičių skaidiniai  tad 3+1 ir 1+3 laikomi vienu skaidiniu). Skaidinių kiekis žymimas p(n), tad p(4)=5
l
n žymi, kad l yra skaičiaus n skaidinys.
Skaidiniai gali būti vizualizuojami Youngo arba Ferrerso diagramomis.

Youngo diagrama skaičiams 1-8

Ferrerso diagrama skaidiniui 6 + 4 + 3 + 1Skaičių skaidiniai sutinkami simetrinių polinomų, simetrinių grupių ir reprezentacijos grupių teorijose.
1740 m. L. Oileris išvedė formulę skaidinių skaičiui:

Jis vėliau išvedė ir formulę, leidžiančią paskaičiuoti skaidinių kiekį dalijant formalias eilutes:

1918 m. S. Ramanudžanas (o 1920 m. nepriklausomai ją nustatė ir J. Uspenskis) pateikė formulę apytiksliam skaidinių skaičiui:

1937 m. H. Rademačeris pateikė konverguojančią eilutę p(n) suradimui:

Ramanudžano kongruencijos
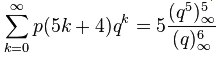
S. Ramanudžanas nustatė, kad:
p(5k+4) º 0 (mod 5) - t.y skaičiams, besibaigiantiems 4 ir 9, pvz., p(4)=5, p(9)=30, p(14)=135...
p(7k+5) º 0 (mod 5)
p(11k+6) º 0 (mod 11)1919 m. jis įrodė pirmąsias dvi kongruencijas panaudodamas tapatybes:

Jis teigė, kad atrodo, kad yra savybių pagal kurias moduliai yra 5, 7 ar 11 laipsniai... ir nėra paprastų savybių bet kuriam moduliui, kurie įtrauktų kitus pirminius skaičius nei tie trys. Ir tikrai,
nėra teisinga.
Ramanudžanas išsakė apibendrintą teiginį, kurį 1967 m. įrodė A.O.L. Atkinas:

Černo medalis
Pirminiai skaičiai
Meilės sinusoidė
Monte-Karlo metodas
Jų begalinė išmintis
Paslėpti erdvės matavimai
Iniciatyva: Matematikos keliu
Parabolės lenktas likimas
Pi keliai ir klystkeliai
Kada statistika gali meluoti?
Matematikos pradžia Lietuvoje
Ar įrodytas abc teiginys?
Matematikai: Davidas Hilbertas
Fundamentaliosios matematikos teoremos
V. Nalimovas. Skaičiaus filosofija
Kombinatorika, polinomai, tikimybės
Aukso gysla Ramanadžano lygtims
Iš Antikos ateinantis klausimas: kiek jų?
Littlewood teiginys apie aproksimaciją
Alef paslaptis: begalybės paieškos
Kita skaičiavimo metodų istorijos pusė
E. Galua: matematikos genijus, revoliucionierius
Kantoro aibių teorija ir tikrosios begalybės intuicija
Netiesinis mąstymas: išspręsti neišsprendžiamą
Omaras Chajamas: ne vien Rubijatai
Kai kurios pirminių skaičių formos
Kirmgrauža tarp matematikos sričių
Rymano hipotezės paaiškinimas
Nepaprasti Visatos skaičiai
Nauji mazgų invariantai
Skaičių simbolika Vedose
Harmoninės eilutės
Algebros istorija
Puankarė teiginys
Matroidai
Vartiklis