Fundamentaliosios matematikos teoremos
Pristatysime tris pagrindines matematikos teoremas trijose jos srityse: algebroje, aritmetikoje ir matematinėje analizėje. Jas privalo žinoti bet kuris, nors kiek besidomintis matematika. Tai  daugianarių išskaidymo nesuprastinamais daugianariais, skaičių išskaidymu į pirminius daugiklius ir ploto skaičiavimą.
Apie pagrindinę algebros teoremą 1637 m. R. Dekartas rašė Geometrijoje, kurios skyrius apie lygtis prasideda:
Žinokite, kad bet kuri lygtis gali turėti tiek šaknų, koks lygties laipsnis; nes sudauginus dvi lygtis x-2=0 ir x-3=0, gausime antros eilės lygtį x2-5x+6=0, turinčią šaknis 2 ir 3. Jei tą lygtį, savo ruožtu, padauginsime iš x-4=0, tai gausime trečios eilės lygtį x3=9x2+26x-24=0 trimis šaknimis: 2, 3 ir 4.Mokykloje moko, kad antros eilės daugianarius, turinčius šaknis x1 ir x2, galima pateikti dviejų pirmos daugianarių sandauga:
x2+px+q=(x-x1)(x-x2)
pvz.,
x2-x-2=(x+1)(x-2)Tačiau kartais nutinka, kad kvadratinis trinaris neturi šaknų ir jo taip išskaidyti negalima. O aukštesnio laipsnio daugianariams teisinga tokia teorema:
Bet kurį daugianarį xn+an-1xn-1+ +a1x+a0 galima išdėstyti sandauga daugianarių, turinčių formą x-a ir antros eilės neturinčių šaknų x2+px+q, - ir toks išdėstymas yra vienintelis: du tokie išdėstymai skiriasi tik daugiklių laipsniu.Pavyzdžiai:
x3+1=(x+1)(x2-x+1) - viena šaknis;
x3- 6x2+11x-6=(x-1)(x-2)(x-3)) - 3 šaknys;
x4+1=(x2-sqrt(2)+1)( x2+sqrt(2)+1)  0 šaknųIš šios teoremos seka, kad daugianaris gali turėti daugiausia n šaknų  tuo atveju, jei išsiskaido į n pirmos eilės daugianarių (jei kai kurie daugikliai kartojasi  šaknų mažiau; kaip ir tuo atveju, jei yra neišskaidomų antros eilės daugianarių).
Gerokai vaizdingesnę formą ši teorema įgauna įtraukus kompleksinius skaičius. Tada jau bet kuris kvadratinis trinaris (su realiaisiais ar kompleksiniais koeficientais) turi dvi kompleksines šaknis ir išskaidomas į pirmo laipsnio daugiklius. Pvz., x2+4=(x+2i)(x-2i)
Tada teorema performuluojama (ji ir yra fundamentalioji algebros teorema):
Bet kurį daugianarį xn+an-1xn-1+ +a1x+a0 galima išdėstyti n daugiklių, turinčių formą (x-bi), sandauga.* * *
Fundamentalioji aritmetikos teorema (FAT) yra apie bet kurio natūrinio skaičiaus išdėstymą (vieninteliu būdu!) pirminiais daugikliais (apie ją plačiau skaitykite >>>>>).
Pvz., 2016=25*32*7Šia teorema, iš esmės, naudojamės prastindami trupmenas, bei ieškodami didžiausio bendro daugiklio. Tiesa, dažniau naudojamės išvestiniu teiginiu: Jei sveikų skaičių sandaugą dalo kažkoks skaičius, tai jis dalo kurį nors iš daliklių (aišku, gali ir abu).
Griežtą pagrindinės algebros teoremos įrodymą 1799 m. pateikė K. Gausas (1777-1855); jis taip pat suformulavo ir įrodė fundamentaliąją aritmetikos teoremą (1801), - nors ji buvo aiški ir žinoma dar nuo antikos laikų, tačiau tik Gausas susivokė apie išdėstymą vieninteliu būdu.
Tačiau pasirodo, kad yra tokių skaičių sistemų, kuriose FAT analogai nustoja galioti  pvz., skaičių sistema, kurios nariai turi formą a+b*sqrt(-5) (a, b - sveikieji skaičiai), kurioje sudėties ir daugybos operacijos atliekamos taip pat, kaip su kompleksiniais skaičiais. Joje, tarkim 21 išdėstomas dviem galimais būdais: a) 21=3*7; b) 21=(4+sqrt(-5))(4-sqrt(-5))
Pastaba: šiai sistemai priklauso visi sveikieji skaičiai, nes jie gali būti užrašomi k=k+0*sqrt(-5)Beje, atkreipsime dėmesį, kad Gauso skaičių (t.y., turinčių formą a+b*sqrt(-1)) atveju FAT analogas galioja.
Beje, formuluojant FAT analogus, reikia atkreipti dėmesį į atvirkštinius skaičius, t.y. tokius, kurių sandauga lygi 1. Todėl formuluojant FAT reikia pabrėžti, kad visi skaičiai > 1, o pagrindinėje algebros teoremoje  aukščiausio laipsnio koeficientas yra 1.* * *
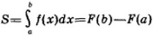
Pagrindinė matematinės analizės teorema jau labiau nutolusi  tai vadinamoji Niutono-Leibnico teorema (NLT), leidžianti rasti kreivių ribojamą plotą. Tai, kad skirtingi geometriniai uždaviniai  išvestinių (liestinių) ir ploto (integralų) suradimo  yra abipusiškai susiję, pirmieji pastebėjo I. Niutonas ir Izaokas Barrou*). Tačiau formulės pavidalu ją nepriklausomai vienas nuo kito užrašė I. Niutonas ir Leibnicas.
NLT teigia, kad jei tolydi intervale [a, b] teigiama funkcija f, esanti funkcijos F išvestine tame intervale, tai po ja esančios srities plotas S paskaičiuojamas formule


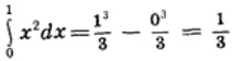
Pvz., F(x)=x3/3 funkcijos išvestinė yra f(x)=x2 - ir intervale [0; 1] plotas po ja lygus:

Tą plotą pirmąkart paskaičiavo, nieko nežinodamas apie integralus, Archimedas. Įdomu, kad jis šį uždavinį skirtinguose kontekstuose sprendė tris kartus, neįtardamas, kad sprendžia tą patį uždavinį.
Pirmykštės funkcijos (F) duotai f funkcijai suradimas (integravimas) tapo svarbiu analitiniu uždaviniu. Racionalioms funkcijoms ji susijusi su pagrindine algebros teorema: pirminę trupmenine forma sudarančiąją funkciją visada galime išreikšti elementariomis funkcijomis (įtraukiant logaritmą ir arktangentą), tačiau tam reikia žinoti skaitiklio išskaidymą į tiesinius ir kvadratinius daugiklius.
*) Izaokas Barrou (Isaac Barrow, 1630-1677)  anglų teologas, matematikas, fizikas; I. Niutono mokytojas. Jis paliko nemažai religinių, etikos ir poezijos kūrinių, tačiau labiau žinomas kaip mokslininkas. Jis laikomas vienu integralinio ir diferencialinio skaičiavimo pradininkų, taipogi jo nustatyta ir pagrindinė matematinės analizės teorema (dar vadinama Niutono-Leibnico teorema) apie ryšį tarp Rymano integralo ir pirmykštės funkcijos. Didžiausią dėmesį skyrė tangento savybių nagrinėjimui  ir jis pirmasis paskaičiavo kapa funkcijos tangentus. 1674 m. paskaitose apie optiką pateikiamas ir grakštus bendras optinių stiklų židinio uždavinio sprendinys.
Algebros istorija
Pitagoro teorema
Aritmetikos pagrindai
Begalybė (pristatymas)
2018 metai matematikoje
Gauso skaičių teorijos kursas
Genijaus keliai ir klystkeliai
Iniciatyva: Matematikos keliu
Pagrindinė aritmetikos teorema
Galua  genijus ir revoliucionierius
Kirmgrauža tarp matematikos sričių
A. Puankarė. Mokslas ir hipotezė
Gausas  iškirstas langas į 19 a.
Skaičiai  apžvalga/ pradmenys
Mūsų smegenys ir yra Visata
Archimedas ir jo laikmetis
Ar įrodytas abc teiginys?
Didžioji Ferma teorema
Dioklas ir jo cizoidė
Nulio istorija
Vartiklis