Pitagoro teorema
Tai matematikos teorema, kurios bent pavadinimą girdėjo dauguma.
Papildomai skaitykite Kaip Pitagoro teoremą įrodė Einšteinas Ji teigia, kad stačiojo trikampio statinių kvadratų suma lygi įžambinės kvadratui, kitaip
Ji teigia, kad stačiojo trikampio statinių kvadratų suma lygi įžambinės kvadratui, kitaipa2+b2=c2Pvz., jei a=6, o b=8, tai c bus lygu kvadratinei šakniai iš
62+82=36+64=100, t.y.c=10Paskaitykite ir Ar viskas čia taip?
Vištos aptaria Pitagoro teoremą (ten minimos „Pitagoro kelnės“ išgarsėjo po 1915 m. komiškos operos „Ivanovas Pavelas“ apie tinginį gimnazistą)Istorija
Teorema pavadinta graikų matematiko Pitagoro (569-475 m. pr.m.e.) vardu, tačiau ji jau anksčiau buvo žinoma babiloniečiams, indams, kinams. O seniausias išlikęs teoremos įrodymas Senovės Graikijoje yra Euklido „Pradmenyse“, o jos priskyrimas Pitagorui tėra tik rašiniuose, parašytuose praėjus 5 a. po Pitagoro mirties.
M. Kantoras mano, kad Pitagoro teorema kraštinėms 3, 4 ir 5 buvo žinoma jau senovės Egipte Vidurinės karalystės laikais (apie 2000 m. pr.m.e.) - pagal Berlyno muziejuje esantį papirusą nr.6619, datuojamą 2000-1786 m. pr.m.e.). jame pateikiamas uždavinio sprendimas, kurio atsakymas – Pitagoro trejetas.
Kiek daugiau žinoma apie teoremą Babilone. „Plimpton 322” molio lentelėje, datuojamoje maždaug 1790-1750 m. pr.m.e., t.y. valdant Hamurabiui, tekste pateikiama keletas užrašų, artimų Pitagoro trejetams (taip pat žr. žinutę apie BM 15285 lentelę). Bet dar megalitiniuoe paminkluose Egipte ir Šiaurės Europoje (apie 2500 m. pr.m.e.) dažnai sutinkami statūs trikampiai su sveikų skaičių kraštinėmis.Indijos „Baudhayana Šulba sutra“, datuojama kažkur 8-2 a. pr.m.e., pateikia Pitagoro trejetų sąrašą, teoremos formuluotę ir geometrinį jos įrodymą lygiašoniams trikampiams. „Apastamba Sulba sutra“(apie 600 m. pr.m.e.) pateikia skaitinį teoremos įrodymą panaudojant plotų paskaičiavimus. Gali būti, kad remiamasi ankstesnėmis tradicijomis.
Žinoma anksčiau, tačiau išlikusi 1 a. pr.m.e. „Čou Pei Suan Čing*) ” pateikia Pitagoro teoremą su piešiniu (Kinijoje vadintoje Gougu teorema) trikampiui su kraštinėmis, lygiomis 3, 4 ir 5. Pateikiamas piešinys sutampa su vienu iš brėžinių indo Bhaskaros geometrijoje žr. >>>>>).
Hanų dinastijos laikotarpiu (202 m. pr.m.e. – 220 m.) Pitagoro trejetas pateikiamas „Devyniuose matematikos skyriuose“ („Dziu čžan suanšu“), paminint ir stačiuosius trikampius.Pitagoro skaičiai yra svarbūs skaičių teorijoje, kur jų efektyvaus suradimo paieškos atvedė į didelį kiekį darbų. Jie pasižymi daugeliu įdomių savybių (pvz., bent vienas iš a, b, c yra dalus 5). Net Ferma teoremos formuluotė analogiška Pitagoro skaičių suradimui, kai n>2.
Įrodymai
Mokslinėje literatūroje užfiksuota daugybė šios teoremos įrodymų (per 360). Tai atspindima netgi grožinėje literatūroje – J. Veltistovo „Elektroniko nuotykiuose“ pagrindinis veikėjas mokykloje ant lentos surašo 25-is skirtingus šios teoremos įrodymus, tuo nustebindamas matematikos mokytoją ir bendraklasius. Ją įrodinėjo ir L. da Vinčis (žr. žemiau), ir A. Einšteinas. Jos naujų įrodymų atsiranda net ir dabar – štai 2016 m. balandį čilietis A. Navas paskelbė elegantišką ir paprastą įrodymą, kuris nenaudoja nei kvadratų, nei trikampių panašumo (susipažinkite su juo žemiau).
Šiuos įrodymus galima suskirstyti į kelias klases: plotų metodu, aksiominiai ir egzotiniai (pvz., diferencialinių lygčių priemonėmis).
Paprasčiausias įrodymas
Šis įrodymas nereikalauja ploto sąvokos ir išvedamas vien tik iš aksiomų.
Paimkime statųjį trikampį ABC su stačiu kampu C, iš kurio nuleiskime aukštinę CH į įžambinę AB. Trikampis ACH yra panašus į trikampį ABC pagal du kampus. Pagal tai ir trikampis CBH panašus į trikampį ABC.

Tad
a/c = |HB| / a;
b/c = |AH| / bIš čia gauname
a2 = c*|HB|
b2 = c*|AH|Sudėję abi lygtis gauname:
a2 + b2 = c*(|HB|+|AH|) = c2Įrodymas panaudojant plotus
1. išdėliokime 4-is lygius stačiuosius trikampius kaip parodyta piešinyje:

2. keturkampis c yra kvadratas, nes dviejų smailų kampų suma yra 90o, o išskleistas kampas lygus 180o
3. Visų figūrų plotų suma lygi, iš vienos pusės, kvadrato su kraštine (a+b) plotui, o iš kitos pusės, keturių trikampių ir vidinio kvadrato plotui.
Bhaskaros įrodymas
Jis labai panašus į prieš tai pateiktą (iš esmės, tas pats):
Paimkite 4-ias identiškas trikampio kopijas ir išdėstykite taip, kaip parodyta piešinyje. Jos sutilps į kvadratą, kurio kraštinės ilgis yra b+c (tad jo plotas (b+c)2), tačiau viduje liks kvadratinė skylė, kurios kraštinė lygi a, taigi plotas - a2. Atkreipkime dėmesį, kad vieno trikampio plotas yra ½ bc. Tada 4-ių trikampių plotas yra 4bc/2 = (b+c)2- a2, iš kur ir išvedame Pitagoro formulę c2=a2+b2

Bhaskaros įrodymas yra puikus „įrodymo be žodžių“ pavyzdys, t.y. su minimaliu žodžių kiekiu. Anot legendos Bhaskara nieko nepaaiškino tiesiog nubrėžė brėžinį ir tarė: „Štai!“ – laikydamas, kad žiūrintis bus pakankamai nuovokus, kad suprastų esmę.
Euklido įrodymas
Šio įrodymo idėja tokia: įrodinėjama, kad pusė įžambinės kvadrato ploto lygi abiejų statinių plotų pusei.

Iš kampo C nuleidome aukštinę AH ir ją pratęsėme taip, kad ji kirstų įžambinės kvadratą, sudarydama du stačiakampius: BHJI ir HAKJ. Pasirodo, kad šių stačiakampių plotai yra lygūs statinių kvadratų plotams.
Tad ir pabandome įrodyti kad kvadrato DECA plotas lygus stačiakampio AHJK plotui. Trikampio su tokiu pat pagrindu ir aukščiu, kaip ir tasai stačiakampis lygus pusei to stačiakampio (nes toks trikampis, pvz., AHK, dalija stačiakampį AHJK pusiau). Iš čia trikampio ACK plotas lygus trikampio AHK plotui.
Dabar įrodysime, kad ACK plotas lygus ir pusei kvadrato DECA ploto. Tam reikia įrodyti, kad trikampiai ACK ir BDA yra lygūs (nes BDA plotas lygus pusei kvadrato ploto pagal prieš tai nurodytą savybę). Tie trikampiai turi dvi lygias kraštines ir kampą tarp jų (AB=AK; AD=AC; o kampai CAK = BAD , kas akivaizdu pasukus CAK 90o priešais laikrodžio rodyklę, atsižvelgiant, kad kampas prie kvadrato viršūnės lygus 90o).
Analogiškai įrodoma kvadratui BCFG ir stačiakampiui BHJI.
Tuo pačiu įrodėme ir Pitagoro teoremą.
Leonardo da Vinči įrodymas
Pagrindiniai L. da Vinči įrodymo elementai yra simetrija ir perkėlimas.

CI kerta kvadratą ABHJ į dvi vienodas dalis (nes trikampiai ABC ir JHI lygūs pagal jų sudarymo principą). Pasukę 90o prieš laikrodžio rodyklę, pastebėsime, kad patamsintos sritys CAJI ir GBAB yra lygios. Tampa aišku, kad patamsintos srities plotas lygus statinių kvadratų plotų sumos pusei bei pradinio trikampio plotui. Iš kitos pusės, jis lygus pusei įstrižainės kvadrato pusei kartu su pradinio trikampio plotui.
Tai ir įrodo Pitagoro teoremą.
Įrodymas diferencialinių lygčių pagalba
Šis įrodymas dažnai priskiriamas anglų matematikui Godfrey Harold Hardy (1877-1947).

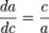
Keisdami a statinio ilgį galime (pasinaudodami trikampių panašumu) užrašyti:

Iš čia gauname
c*dc = a*daBendresniu atveju, kai keičiami abiejų statinių ilgiai, lygtys atrodo taip:
c*dc=a* da+b*dbJą integruodami, ir panaudoję pradines sąlygas, gauname:
c2= a2+ b2 + konstanta

Taigi, gaunami ieškomą išraišką
c2=a2+b2Naujas Andres Navas įrodymas
Savo įrodymą A. Navas iš Santjago de Čili un-to paskelbė 2016 m. balandžio 12 d. Jis panaudoja Voleso-Bojaji-Gervino teoremą, teigiančią, kad du vienodai sudaryti daugiakampiai turi tą patį plotą.
Pirmiausia jis atkreipia dėmesį, kad iš Pitagoro teoremos seka, kad taisyklingų daugiakampių, nubrėžtų ant statinių, plotų suma lygi taisyklingo daugiakampio ant įstrižainės plotui (tam pakanka Pitagoro formulės abi puses padauginti iš atitinkamos konstantos - pvz. žr. šalia).
Tada atliekami du trikampio ABC sukiniai: 1) apie A viršūnę 60o kampu prieš laikrodžio rodyklę; 2) apie ABviršūnę 60o kampu pagal laikrodžio rodyklę. Tada paskaičiuojamas plotas daugiakampio ABC2DC1, sudaryto iš dviejų daugiakampių, kurių plotai lygūs trikampiui ABC ir lygiakraščio (t.y., jo visų kraštinių ilgis yra c) trikampio ABD nuo pradinio trikampio įstrižainės, iš ko ir išveda įrodymą.

Pirmiausia atkreipkime dėmesį (brėžinys dešinėje), kad trikampiai BCC2 and ACC2 yra lygiakraščiai, kurių visų kraštinių ilgiai atitinkamai yra a ir b Be to, trikampiai BC2D and ACąD yra lygūs ABC (nes tai to paties trikampio pasukimai). Todėl gauname:
ABC2DC1 = ABD + BC2D + AC1D = ACC1 + BCC2 + BCA + C2DC1C
O atvaizdavus brėžiniu:

kurį supaprastinus (abiejose lygybės pusėse pašalinus to paties ploto trikampį abc), gausime:

Lieka įrodyti, kad

Tam pastebėkime, kad lygiagretainio C2DC1C kraštinės yra a ir b. Kadangi kampas BCA yra 90o, kampas C1CC2 yra lygus 120o, o tada kampai CC2D ir DC1C bus po 30o. Todėl, kaip ir reikėjo įrodyti (truputis trigonometrijos):
C1CC2D plotas = ab sin(30o) = 1/2 ab = BCA plotasArgi ne paprasta?!
*) Čou Pei Suan Čing - vienas amkstyviausių kinų matematinių tekstų. Laikoma, kad jis sukurtas laikotarpiu nuo Kariaujančių valstybių laikotarpio iki Rytų Hano pradžios (3-1 a. pr.m.e.). Manoma, kad jis įtraukia ir senesnių raštų duomenis. Jis susideda iš dviejų ritinių ir sudarytas iš kelių dialogų, matematinėmis ir astronominėmis (taip pat ir kosmogonine) temomis. Jame kelis kartus pasinaudojama Pitagoro teorema. 3 a. Zhao Šuang‘as papildė komentaru ir įdėjo brėžinį (o vėliau jį papildė ir kiti komentatoriai), tačiau vis dar diskutuojama, ar tikrai jame buvo pateiktas įrodymas.
Papildomai skaitykite Kaip Pitagoro teoremą įrodė Einšteinas
Variacijos ir apibendrinimai
Kosinusų teorema
Sferinėje geometrijoje vienetinėje sferoje Pitagoro teoremos pavidalas yra
cos c = cos a cos bLobačevskio geometrija
Joje kreivumo -1 plokštumoje pavidalas yra
ch c = ch a ch bDe Gua teorema:
Trikampei piramidei ABCD, kurios trys kampai prie viršūnės D yra statūs, teisinga:
Priešingo D viršūnei šono ploto kvadratas lygus prie viršūnės esančių šonų plotų kvadratų sumai.Lygiakraštis trikampis
Jam teisinga c2=a2 + bdNe tik kvadratai
Jei vietoje kvadratų ant kraštinių brėžiamos kitos analogiškos figūros, tai galioja Pitagoro teoremos apibendrinimas:
Panašių figūrų ant statinių plotų suma lygi figūros ant įžambinės plotui.
Kaip atskiri atvejai – taisyklingieji trikampiai ir pusapskritimiai.Ortogonalių vektorių sistema
Joje irgi galioja Pitagoro teorema. Begalinio matavimo ortogonalių vektorių sistemoje ji vadinama Parsevalio lygybe.Įdomybės
2000 m. Uganda išleido monetą, vaizduojančią statųjį trikampį, o kitoje pusėje Pitagoro atvaizdą ir lygtį. Graikija, Japonija, San Marino, Sierra Leonė ir Surinamas išleido pašto ženklus, vaizduojančius Pitagorą ir jo teoremą.
Neal Stephenson‘o „Anathem‘oje“ „Adrakhonidų teoremos“ teoremos įrodymas parodomas ant nežemiečių laivo šono taip nurodant, kad jie supranta matematiką.
Ferma taškas
Pirminiai skaičiai
Ar viskas čia taip?
Kampo trisekcija
Pitagoras iš Samos
Santykis ir proporcija
Euklidas iš Aleksandrijos
Kokiu greičiu skriejame?
Viðtos aptaria Pitagoro teoremà
Pagrindinė aritmetikos teorema
Matematika Egipte ir Finikijoje
A. Puankarė. Mokslas ir hipotezė
Naujas pirminių skaičių dėsningumas
Kombinatorika, polinomai, tikimybës
Pitagoro skaièiai per Fibonaèio sekà
Klasikinës „neiðsprendþiamos“ geometrinës konstrukcijos
Matematika Egipte: Rindo papirusas ir kt.
Kita skaičiavimo metodų istorijos pusė
Pagrindinės algebrinės struktūros
Pagrindinės statistinės sąvokos
Iniciatyva: Matematikos keliu
Hipokratas ið Chijo salos
Didžioji Ferma teorema
Pi keliai ir klystkeliai
Parabolės lenktas likimas
Iðmatuojam apskritimà
Harmoninės eilutės
Pirminiai dvyniai
Algebros istorija
Dalyba iš nulio
Nulio istorija
Vartiklis