Aukso gysla Ramanudžano lygtims
Ramanudžanas sakė, kad matematiką regi indų deivės Namadžirės1) akimis  ji jam matematines tiesas atskleidė sapnuose.Jūrų kriauklės gali būti viena daugelio gamtoje sutinkamų formų siejamų su aukso pjūviu2), vienu iš pagarsėjusių matematinių skaičių. Emory ir Kvinslando3) universitetų matematikai nustatė naujas algebrinių skaičių ypatybes ir formules jų gavimui. Jie sukūrė metodą Rodžerso-Ramanudžano lygtims ir jų aritmetinėms savybėms išspręsdami ilgametę problemą ateinančią iš indų genijaus Srinivasos Ramanudžano darbų. Apie naujus atradimus paskelbė Ken Ono su S. Ole Warnaaru4) bei M. Griffinu 2014 m. balandį konferencijos Luizianos valstijoje (JAV) plenariniame pranešime.
Algebriniai skaičiai yra vieni pirmųjų, kuriuos sutinkate matematikoje, tačiau, visų nuostabai, sunku rasti funkciją, kuri gražintų jų reikšmę. Vienu iš plačiai žinomų algebrinių skaičių yra aukso pjūvis, paprastai žymimas f. Aiškinama, daugybė architektūros paminklų (pvz., Partenonas) tenkina aukso pjūvio proporciją (apie 1,618...), kuri yra tarsi grožio rodiklis.
Kiti algebriniai skaičiai irgi svarbūs algebrai. Tad vienas algebros uždavinių yra rasti formules, kurios duotų algebrinių skaičių reikšmes. 18 a. šveicarų matematikas L. Oileris kažkiek pasistūmėjo toje srityje  jo grandininių trupmenų teorija leido paskaičiuoti kai kuriuos algebrinius skaičius, taip pat ir aukso pjūvį. Tačiau ji neleido gauti algebrinių skaičių nesančių kvadratinės lygties5) šaknimis.
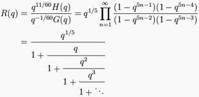
Tuo tarpu S. Ramanudžanas (1887-1920) lengvai juos rasdavo, nors ir neturėjo matematinio išsilavinimo. Ir tarp jo palikimo ypatinga svarba yra Rodžerso-Ramanudžano lygtys, priklausančios q-sekų6) (pagrindinių hipergeometrinių Heinės sekų) teorijai. Jas 1894 m. pirmąkart atrado savamokslis L.J. Rodžersas7). 1914 m. Ramanudžanas pasiuntė laišką anglų matematikui G.H. Hardy su dviem Rodžerso atrastomis lygtimis bei trečiąja formule, parodančia, kad tos lygtys yra moduliarinės funkcijos8) ir jų dalmuo turi tą ypatingą savybę, kad jo reikšmės yra algebrinės reikšmės.

Hardy apstulbo pamatęs tas formules: Niekada iki tol nemačiau nieko panašaus. Vien žvilgsnio į jas pakanka pamatyti, kad jas galėjo parašyti tik aukščiausio lygio matematikas. Jos privalo būti teisingos, nes nė vienam nepakaktų vaizduotės jas atspėti.
Ramanudžanas mirė 1920-ais taip ir nepaaiškinęs, kaip jis išvedė tas formules. Ir šimtmetį daugelis matematikų bandė nustatyti, kaip jos atsirado, ir kodėl jos teisingos. Gal tiesiog padėjo intuicija?
Po 15 m. tyrinėjimų, S. Ole Warnaaris4) rado būdą, kaip tas lygtis įtraukti į platesnę panašių lygčių klasę kartais vadinamą reprezentacijų teorija9). 2013 m. lapkritį jis patalpino straipsnį arXiv.org svetainėje. Kartu su Ken Ono ir M. Griffinu buvo sukurtas naujas įrankių rinkinys šiai sričiai.
Ramanudžano 125 gimimo metinėms (2011) K. Ono norėjo pateikti kažką nauja. Jis su Emory universiteto studentais M. Grifinu ir L. Rolenu išnagrinėjo Ramanudžano paskutinio laiško pastabą, kurioje indų genijus miglotai aiškino, kaip jis gavo tas formules. Jie bandė paaiškinti jo naudotus keistus metodus.
O per Ramanudžano 125 gimimo metinėms skirtą konferenciją 2011 m. Floridoje Ken Ono padarė pranešimą, kurioje pristatė savo išvestą formulę, galinčią būti naudinga fizikams, tiriantiems juodąsias skyles.
1920 m. jau gulėdamas mirties patale, Ramanudžanas parašė laišką G.H. Hardy, kuriame aprašė kelias naujas funkcijas, kurios elgiasi skirtingai nuo žinomų theta-funkcijų (moduliarinių formų), tačiau labai artimai pamėgdžioja. Jis teigė, kad jo netikros moduliarinės formos (NMF) atitinka įprastines moduliarines formas (MF), kurias anksčiau nustatė Karlas Jakobi, ir kad abi jos duoda panašius rezultatus šaknims iš 110).
Niekas nesuprato, apie ką Ramanudžanas kalbėjo, iki pat 2002 m., kai Sander Zwegers11) darbai parodė Ramanudžano paminėtų funkcijų apibrėžimus. Tuo remdamasis K. Ono su kolegomis sukūrė priemones, kad galėtų parodyti, kad NMF gali būti paskaičiuotos Ramanudžano numatytu būdu. Jie nustatė, kad kai NMF rezultatai ima siekti labai didelius skaičius, atitinkančios MF artėja prie jų panašiu greičiu. Tad sudedant, o kai kuriais atvejais atimant, vieną su kitu, rezultatas būna santykinai mažas skaičius, pvz., paprasčiausiu atveju  4.
K. Ono pateikė magiškos monetos analogiją, pailiustruojančią šią situaciją. Tarkim, Jakobis ir Ramanudžanas sumoka kiekvienas savo moneta toje pačioje parduotuvėje. Kiekviena tų monetų pradeda keliauti iš rankų į rankas savais keliais per skirtingas parduotuves, miestus ir žmones. Jų keliai daugelį mėnesių atrodo neturį nieko bendra. Tačiau vienu metu Ramanudžano pradeda mėgdžioti, ar sekti iš paskos Jakobio monetą. Ir po metų jos abi atsiduria labai arti viena kitos  vienos parduotuvės kasos stalčiuje, keli centimetrai viena nuo kitos.
Ramanudžanas nesiekė jokio praktinio panaudojimo  jam tebuvo įdomus jų matematinis grožis. Tačiau moduliarinės formos yra vienas pagrindinių įrankių moduliariosioms juodųjų skylių entropijos paskaičiavimui. Kai kurios juodosios skylės nėra moduliariosios, tačiau K. Ono išvesta formulė gali leisti fizikams paskaičiuoti ir jų entropiją.
Papildomai žr. Indijos premjeras pagerbia Ramanudžano 125-ąsias gimimo metines
Monstriškos nesąmonienos šešėlis pasidavė?
Monstriška grupė (arba Fischer-Griess monstras, žymima M arba F1) yra aukščiausio laipsnio paprastoji sporadinė grupė. Ji yra vienu iš dviejų sudedamųjų monstriškos nesąmonienos teiginyje, 1985 m. suformuluotame J. Conway ir S. Nortono ir siejančio diskrečiąją ir nediskrečiąją matematikas. Jį 1992-aus įrodė Richard Borcherdsas, panaudodamas metodus, naudojamus stygų teorijoje (ir už tai gavo Fieldso medalį).
Monstriškos nesąmonienos terminą 8-ojo dešimtm pabaigoje įvedė J. Conway. 2007 m. E. Wittenas teigė esant teiginio ryšį su kvantine gravitacija.Tačiau monstriška nesąmoniena turi šešėlį. Nesąmonienos šešėlis (umbral moonshine) yra paslaptingas ryšis tarp Matheu grupės M24 (24 elementų perstatų) ir K3 paviršių (daugiau >>>>>>), kurį 2011 m. pastebėjo Tohru Eguchi, Hirosi Ooguri ir Yuji Tachikawa (ir jis buvo pavadintas Mathieu nesąmoniena). M. Cheng, J. Duncan ir J. Harvey 2012 m. pastebėjo, kad kai kurios nesąmonienos šešėlio funkcijos (vadinamos Hauptmoduln) yra Ramanudžano netikros moduliarinės formos.
Dabar matematikai (Ken Ono kartu su M. Griffinu ir Džonu Duncanu) tvirtina įrodę nesąmonienos šešėlio teiginį. Jie sakosi jo formuluotę transformavę į kažką, ką galima patikrinti. Šį darbą 2015 m. sausio mėn. 15 d. Ken Ono pristatys jungtinėje matematikų sueigoje (didžiausioje pasaulyje) San Antonio mieste.
Pilna nesąmonienos šešėlio teiginio formuluotės, kurią pateikė Dž. Dunkanas kartu su fizikais Cheng ir Harvey, versija yra per 100 puslapių ir buvo paskelbta 2014 m. birželį. Ji patraukė Ken Ono, netikrų moduliarinių formų eksperto, akį.
Elementarioji matematika pastatyta ant grupių (objektų rinkinių, tenkinančių tam tikrus sąryšius). Vienas didžiausių 20 a. pasiekimų matematikoje buvo visų baigtinių paprastųjų grupių klasifikacija, kuri pateikta 1985 m. Baigtinių grupių atlase (tai tarsi cheminių elementų lentelė chemikams). Tačiau iki pat 8-ojo dešimtm. pabaigos nebuvo sukonstruota didžiausia (monstriška) grupė. Ji tikrai didelė  joje elementų daugiau nei atomų tūkstantyje Žemių. Ji tikrai per didelė, kad būtų naudojama kaip priemonė skaičiavimams. Tad čia pasirodo reprezentacijų teorija. Šešėlinė technika yra naudingas įrankis matematikoje.
Mes suprantame, kad šie klausimai yra labai techniniai ir todėl nevarginsime giluminiais šių klausimų klodais. Bet gal tokios publikacijos leis padėti nors paviršutiniškai suprasti, kuo užsiima matematikai. Kaip matote, tikrai ne buhalteriniais skaičiavimais.
Papildymai
1) Namadžiri (Namagiri Thayar, Namakkal)  Lakšmi garbinimo forma Indijoje, Tamil Nadu. Indų mitologijoje ji yra Narasimha, Višnu įsikūnijimo į pusliūtį, didžiojo gynėjo (pvz., apgynė Adi Šankarą), žmona. Jie garbinami vaišnavų. Ji buvo matematiko Ramanudžano globėja, ir ji sapne leido jo motinai išleisti sūnų į Angliją.
Narasimha minimas daugelyje Puranų; apie jį užsimenama Mahabharatoje bei Gopala Tapani upanišadoje. Rigvedoje yra epitetas, kuris skirtas Narasimhai. Bhagavata purane sakoma, kad jo ankstesnis įsikūnijimas buvo Varaha, kuris užmušė asurą Hiranajakšą. Šio jaunesnysis brolis Hiranyakašipu norėjo atkeršyti Višnu ir jo pasekėjams ir prašė Brahmos nemirtingumo. Tasai jo nedavė, tačiau susiejo asūro mirtį su sąlyga, kad nebus nužudytas nei dievo, nei žmogaus, nei gyvūno. Jį įveikia Višnu virtęs Narasimha, pusiau liūtu, pusiau žmogumi.
2) Aukso pjūvis (dieviškoji proporcija)  atkarpos dalijimas į dvi dalis taip, kad jų santykis būtų lygus visos atkarpos ir didesniosios dalies santykiui (apytiksliai 1,618, o procentiškai 62% ir 38%). Aukso pjūvio terminą 1835 m. įvedė Martinas Omas. Jam žymėti Markas Baras pasiūlė raidę f  pagal graikų skulptoriaus Fidijaus pirmąją raidę. Aukso pjūvis yra
= 1,6180339887498948482...
Plačiau skaitykite Apie aukso pjūvį
Euklidas knygoje Elementai teigė, jog atkarpa AB padalinta į dalis turi santykį C : AB su AC kaip AC su CB. L. Pačiolis parašė Divina proportione (Dieviška proporcija)  taip jis vadino aukso pjūvį. Šioje knygoje yra sukaupti su aukso pjūviu susiję Euklido ir kitų šaltinių rezultatai. Jis teigė (net nesistengdamas įrodyti ar pateikti nuorodą), kad aukso pjūvis negali būti racionalus.
Kardanas, Bombelli ir kiti savo tekstuose kėlė klausimą, kaip gauti aukso pjūvį pritaikant kvadratines lygtis. Įdomi informacija aptinkama 1509 m. Pačiolio Euklido Elementų leidimo kopijoje. Kažkas parašė pastabą, kuri aiškiai patvirtina, kad jie žinojo, jog gretutinių narių pjūvis Fibonačio sekoje linkęs panašėti į aukso pjūvio reikšmę. Pirmasis žinomas dešimtainis aukso pjūvio apskaičiavimas užfiksuotas 1597 m. Tiubingeno universitete Michaelio Maestlino parašytame laiške jo buvusiam studentui Kepleriui. Gretutinių narių dalmenų (koeficientų) Fibonačio sekoje panašėjimas į aukso pjūvį paprastai priskiriamas R. Simsonui, kuris rezultatą pateikė 1753 m.
1202 m. L. Fibonačis suformulavo uždavinį apie triušių dauginimąsi. Uždavinio pradžioje turime triušiukų porelę, kuri atsives po porą jauniklių kas mėnesį. Kiekviena jauniklių pora, sulaukusi dviejų mėnesių, atsiveda jauniklių porelę ir t.t. Taigi antro mėnesio gale mes jau turime 2 poras, t.y. 1 pora (senoji porelė) + 1 pora (jaunoji porelė) = 2 poros. Trečio mėnesio gale  3 poros: senoji pora susilauks dar porą triušiukų. Ketvirto mėnesio gale  5 poros: senoji susilauks dar porelės, bet ir jaunoji jau galės atsivesti triušiukų. Taigi jau turime penkias triušiukų poreles. Tęsiant skaičiavimus, galima suskaičiuoti, kiek bus porelių pasibaigus pirmiems metams  144.
Aukso pjūvis turi daugybę įdomių savybių, kurių čia nevardinsime, - tik nurodysime, kad jis išreiškiamas grandinine trupmena:

Papildomai skaitykite Tyrinėtojas aiškina Aukso vidurio paslaptį...
3) Kvinslando universitetas - universitetas Australijos Kvinslando valstijoje. Pagrindiniai korpusai yra St. Lucia priemiestyje. Įsteigtas 1909 m.  5-uoju Australijoje. Vienas prestižiškiausių universitetų pasaulyje.
4) S. Ole Warnaaris - australų matematikas, Kvinslando un-to profesorius. Tyrimų sritys: algebrinė kombinatorika, pagrindinės ir elipsinės hipergeometrinės eilutės, q-eilutės ir skaičių skaidinių teorija, atvaizdavimo teorija, specialiosios funkcijos (elipsinės, ortogonalieji polinomai, Selbergo integralai).
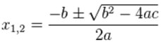
5) Kvadratinė lygtis - antrojo laipsnio daugianaris, išreiškiamas formule ax2+bx+c=0
kur a, b, c - realieji skaičiai, o a nelygus 0. c vadinamas laisvuoju koeficientu. Jos šaknys randamos pagal formulę:

Išraiška po kvadratine šaknimi vadinama diskriminantu ir žymima D.
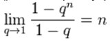
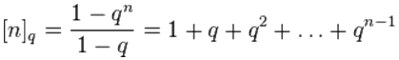
Daugiau žr. Kvadratinė lygtis6) q-sekos. Klasikinė q-teorija prasideda teigiamų skaičių q-analogais, pvz., pagal

laikome, kad apibrėžiame n q-analogą (arba q-skaičių):

Ankstyvieji tyrinėjimai buvo pagrindinės hipergeometrinės sekos (19 a.), įvestos E. Heinės (1846). Matematikus ypač domina natūraliai susidarančiais q-analogais. Jie pritaikomi daugelyje sričių, tarp jų fraktalų teorijoje bei išreiškiant chaotinių dinaminių sistemų entropiją. Ryšis tarp jų išsireiškia per hiperbolinę geometriją ir ergodinę teoriją, kur svarbų vaidmenį turi elipsiniai integralai ir moduliarinės formos.
Yra dvi pagrindinės q-analogų grupės: a) klasikiniai, kurie pasirodė L. Oilerio darbuose; b) išplėsti F.H. Džeksono ir kitų.
7) Leonardas Rodžersas (Leonard James Rogers, 1862-1933)  britų matematikas. Jis pirmasis atrado Rodžerso-Ramanudžano formules ir Holder'io nelygybę, o taip pat įvedė Rodžerso polinomus.
Vaikystėje sunkiai sirgo, tad nelankė mokyklos. Jo matematinius sugebėjimus jau vaikystėje pastebėjo J. Griffithas. Bet jis buvo gabus ir muzikas, - 1884 m. gavo muzikos bakalauro laipsnį. Taip pat buvo prakutęs daugelyje sričių: lingvistas, mimas, akmens sodų statytojas.
1888-1919 m. matematikos profesorius Jorkšyro koledže. Jį paliko dėl sveikatos, tačiau augo jo, kaip muziko, šlovė. Nuo 1924 m. Karališkosios draugijos narys.
Išgarsėjęs tapatybėmis, kurias atrado 1894 m. (dabar vadinamomis Rodžerso-Ramanudžano formulėmis), į kurias tada niekas neatkreipė dėmesio. Jas 1913 m. iš naujo atrado S. Ramanudžanas, tačiau nepateikė jų įrodymo. 1917 m., perversdamas Londono Matematikų draugijos leidinius, Ramanudžanas nustebo radęs Rodžerso straipsnį. Tarp jų užsimezgė susirašinėjimas, kurio išdava tapo Rodžerso įrodymo supaprastinimas. O 1936 m. būsimasis Fieldso medalio laureatas Atle Selbergas paskelbė Rodžerso-Ramanudžano formulių apibendrinimą, kuris iš tikro tebuvo Rodžerio originalių rezultatų atskiras atvejis.
3-io dešimtmečio pabaigoje paskelbė 4 žinutes apie geometrines problemas, tarp jų ir Malfatti' uždavinį.
8) Moduliarinė forma - kompleksinių skaičių analitinė funkcija apibrėžta viršutinėje pusplokštumėje ir tenkinanti tam tikras sąlygas. Jos plačiai naudojamos skaičių teorijoje, algebrinėje topologijoje. Fizikoje jos naudojamos stygų teorijoje. Moduliarinės formos yra atskiras atvejis bendresnės automorfinių formų teorijos.
Moduliarinių formų teorija vystyta 3-is laikotarpiais: a) sąryšyje su elipsinių funkcijų teorija (19 a. pradžioje); b) F. Kleino (pradedant maždaug apie 1925 m.); c) 7-me dešimtm. dėl poreikio skaičių teorijai. Pavadinimas moduliarinės formos paprastai priskiriamas Hecke.
Taip pat skaitykite Moduliarios formos
9) Reprezentacijų teorija (arba atvaizdavimų teorija) - matematikos sritis, tirianti abstrakčias algebrines struktūras per jų elementų pateikimą vektorinių erdvių tiesinėmis transformacijomis. Iš esmės, algebrinių objektų elementai aprašomi matricomis, o tų objektų sudėties ir daugybos operacijos  matricų sudėtimi ir daugyba. Tokiais objektais yra grupės, asociatyviosios algebros ir Li algebros.
Reprezentacijų teorija leidžia sudėtingus bendrosios algebros uždavinius suvesti į paprastesnius tiesinės algebros uždavinius. Be to vektorinė erdvė, kurios pagalba pateikiama grupė, gali būti begalinio mato, o prie jos prijungus Hilberto erdvės struktūrą, galima taikyti ir matematinės analizės metodus. Reprezentacijų teorija svarbi ir fizikai, nes, pvz., ji aprašo, kaip fizinės sistemos simetrijų grupė veikia tą sistemą aprašančių lygčių sprendimą.
Stebinanti šios teorijos ypatybė  tai jos paplitimas matematikoje: ji apibendrina Furjė analizę harmoninės analizės pagalba; glaudžiai susijusi su geometrija per invariantų teoriją bei Erlangeno programą, veikia skaičių teoriją per automorfines formas bei Langlandso programą. Antra vertus, egzistuoja gausybė priėjimo prie jos būdų: per algebrinės geometrijos metodus, modulių teoriją, analitinę skaičių teoriją, diferencialinę geometriją, operatorių teoriją, algebrinę kombinatoriką ar topologiją.
Jos pasisekimas atvedė prie daugelio apibendrinimų, kurių bendriausias naudoja kategorijų teoriją. Algebros objektai, kuriems pritaikoma reprezentacijų teorija, gali būti priimami kaip tam tikros kategorijos objektai, o atvaizdavimai  kaip tos kategorijos funktoriai į vektorinių erdvių kategoriją.
10) Šaknys iš 1 - tai kompleksiniai skaičiai, kuriuos pakėlus n-tuoju laipsniu, gauname 1. Jos dar vadinamos de Muavro skaičiumi.
Jos plačiai naudojamos matematikoje, ypač skaičių teorijoje, greitose Furjė transformacijose, laukų išplėtimuose, brėžiniuose su skriestuvu ir liniuote, grupių atvaizdavimuose. Jas plačiai naudoti pradėjo dar Gausas (apskritimo padalijimui į n dalių naudojant skriestuvą ir liniuotę, 1801 m.), o O. Koši jas panaudojo bendresniam algebrinių lygčių su keliais kintamaisiais uždaviniui (1847).
11) Sander Pieter Zwegers (g. 1975)  olandų matematikas, 2002 m. nustatęs ryšį tarp Maass formų ir S. Ramanudžano netikrų moduliarinių formų (daktaro disertacija Netikros theta funkcijos, apginta Uttechto un-te). Užsiima skaičių teorija Kelno un-te. Atstovavo airių snieglenčių komandai Pan-Europos tarpuniversitetinėse žaidynėse.
Apie aukso pjūvį
Pirminiai skaičiai
Monte-Karlo metodas
Jų begalinė išmintis
Skaičiai  apžvalga/ pradmenys
Iniciatyva: Matematikos keliu
Matematikos pradžia Lietuvoje
Kirmgrauža tarp matematikos sričių
V. Nalimovas. Skaičiaus filosofija
Alef paslaptis: begalybės paieškos
Įvadas į eksponentines funkcijas
Kita skaičiavimo metodų istorijos pusė
Iš Antikos ateinantis klausimas: kiek jų?
Naujos skaičių sistemos siekia atgauti pirminius skaičius
E. Galua: matematikos genijus, revoliucionierius
Omaras Chajamas: ne vien Rubijatai
Littlewood teiginys apie aproksimaciją
Apie Tarskio skritulio kvadratinimą
Gausas  iškirstas langas į 19 a.
Nepaprasti skaičiai: skaičius 42
Amerikai matematika nereikalinga!
Proveržis skaičiuojant skaidinius
Rymano hipotezės paaiškinimas
Nauja pirminių skaičių klasė
Indijos matematikos istorija
Nepaprasti Visatos skaičiai
Golbacho teiginio įrodymas?
Nauji mazgų invariantai
Paslėpti erdvės matavimai
Skaičių simbolika Vedose
Algebros istorija
Puankarė teiginys
Vartiklis