Kvadratinė lygtis
Taip pat skaitykite >>>>>
Kvadratinė lygtis yra 2-os eilės vieno kintamojo daugianaris):
ax2 + bx + c = 0
kai a ¹ 0a vadinamas pirmuoju, kvadratiniu arba vyresniuoju koeficientu; b - antruoju arba tiesiniu koeficientu, c - laisvuoju nariu. Jei kuris nors koeficientas (b arba c) lygus 0, lygtis vadinama nepilnąja.
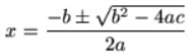
Lygties šaknys- x reikšmės, kurioms lygtis yra teisinga. Fundamentalioji algebros teorema užtikrina, kad lygtis turi 2 šaknis, kurios paskaičiuojamos pagal formulę:

Reiškinys po kvadratine šaknimi vadinamas diskriminantu ir paprastai žymimas D, t.y. D=b2-4ac
Jei D ¹ 0, lygtis turi tiksliai 2 sprendinius, o jei D=0  tik vieną.
Geometrinė prasmė
Kvadratinės funkcijos grafikas yra parabolė. Jei koeficientas a yra teigiamas, parabolės šakos yra nukreiptos aukštyn, o jei neigiamas  žemyn. Jei b yra teigiamas, tada parabolės viršūnė yra kairėje pusėje, o jei neigiamas  dešinėje.
Jos šaknys yra susikirtimo su abscisių ašimi (x) taškai. Jei parabolė nekerta abscisių ašies, tada lygtis neturi realiųjų skaičių šaknų. Jei parabolė abscisių ašį kerta tik viename taške, jos šaknys sutampa.Sąsaja
Aukso pjūvis yra šaknis lygties:
x2-x1=0Istorija
Po-Shen Lohas iš Carnegie Mellono un-to surado naują kvadratinės lygties sprendimo metodą, kuris, kaip manoma, yra intuityvesnis ir paprastesnis  ir šaknų suradimui nereikia žinoti konkrečios formulės. Jis jį paskelbė 2019 m. gruodį. Jo principas trumpai: a) pradžioje randama kažkokia reikšmė, esanti vidurkiu šaknims, b) tada, panaudojant ją, lengvai paskaičiuojamos pačių šaknų reikšmės.
Ne kiekvienas sugeba išvesti šią formulę (ir ant greičio prisimena  gerai, kad dabar yra internetas, kuriame viską surasi):

Nuo Babilono laikų matematikai yra radę daug būdų spręsti kvadratinę lygtį, tačiau visi jie komplikuoti ir nėra intuityvūs. Vis tik Po-Šen Lohas pastebėjo kažką nauja, ko niekas nepastebėjo per 4000 m.
Jis pradėjo nuo labai paprasto dalyko, pastebėdamas, kad kvadratinę lygtį galima išreikšti:
x2+Bx+C=(x-R)(x-S),
kur R ir S yra kvadratinės lygties šaknys. Sudauginus dešinę pusę gauname
x2-(R+S)x+RS
Kas teisinga ir B=-(R+S) ir C=RS
Tada Po-Šen Lohas nurodo, kad iš čia R ir S vidurkis yra (-B/2).Taigi, reikia ieškoti dviejų skaičių -B/2±z, kur z yra vienintelė nežinoma reikšmė. Juos sudauginę gausime C:
(-B/2+z)(-B/2-z)=(-B/2)2-z2=C
Kiek pertvarkę, gausime

Kas reiškia, kad kvadratinės lygties sprendinys yra:

Pailiustruokime pavyzdžiu: tarkim sprendžiame lygtį x2-2x+4=0
Tradicinis mokykloje išmokytas metodas reikalauja paimti a, b ir c reikšmes ir jas panaudoti formulėje:
x=(-(-2)±sqrt((-2)2-4*1*4))/(2*1)=(2±)/2= 1±i

Tačiau Po-Šen Loho metodu pradžioje žinome, kad abi šaknys turi būti lygios -B/2±z=1±z, o kadangi jų sandauga turi būti lygi C=4, tai galime užrašyti
1-z2=4
z2=-3
z=±i
Tad abi šaknys yra 1±i

Originalus straipsnis A Simple Proof of the Quadratic Formula yra arxiv serveryje: arxiv.org/pdf/1910.06709.pdf
Papildomai skaitykite  Algebros istorija
Net jei babiloniečiai ir neturėjo lygties sąvokos, jie rado algoritminį metodą kvadratinei lygčiai spręsti (žr. apie matematiką Babilone)
O pirmas žinomas kv. lygties sprendimas pateiktas Egipto Berlyno papiruse" (Vidurinės karalystės laikotarpis, 2160-1700 m. pr.m.e.). Jame sprendžiama lygčių sistema:
x2 + y2 = 100
y = 3/4 xMaždaug 300 m. pr.m.e Euklidas išvystė geometrinį metodą, kai ieškomas ilgis atitinka kv. lygties šaknį. Euklidas nenaudojo lygties, koeficientų ie pan. sąvokų ir sprendė uždavinius grynai geometriniais būdais.
Diofantas (apie 210-290 m.) Aritmetikoje sprendė kv. lygtis, tačiau pateikdavo tik vieną šaknį (net ir tuo atveju, jei a ir b buvo teigiamos).
Indijos matematikai išvystė babiloniečių metodus. Aryabhata2)  (apie 475-550 m.) pateikė taisyklę geometrinių sekų sumos suradimui, kas rodo žinojimą apie kv. lygtį ir abi jos šaknis. Vėliau Brahmagupta (598-665 m.) pateikė beveik šiuolaikinį sprendimo būdą, kuris numato ir neigiamas šaknis. Jis taipogi naudojo santrumpas nežinomiesiems (ieškomoms reikšmėms) žymėti, dažniausiai pirmą spalvos pavadinimo raidę (kartais viename uždavinyje būdavo keli nežinomieji)(žr. apie matematiką Indijoje).
Arabai nežinojo apie indų pažangą (žr. apie arabų matematiką). Vis tik al-Chorezmis3) (apie 800 m.) suklasifikavo kv. lygtis. Skirtingi tipai atsirado todėl, kad al-Chorezmis nenaudojo nei nulio, nei neigiamų skaičių. 6-ios jo knygos skyriai skirti skirtingiems lygčių tipams. Lygtis sudarė trys kiekių tipai: šaknys, šaknų kvadratai ir skaičiai (t.y. x, x2 ir skaičiai).
Al-Chorezmis sprendė tokius lygčių tipus:
- Kvadratai lygūs šaknims;
- Kvadratai lygūs skaičiams;
- Šaknys lygios skaičiams;
- Kvadratai ir šaknys lygūs skaičiams;
- Kvadratai ir skaičiai lygūs šaknims;
- Šaknys ir skaičiai lygūs kvadratams
Iš esmės, kiekvienu atveju buvo pateikiama žinoma formulė su skaitinaiis pavyzdžiai, o tada pristatomas įrodymas kiekvienam pavyzdžiui.
Abraham bar Hiyya Ha-Nasi1) (arba Savasorda) Liber embadorum (1145) pateikė pilną kv. lygties sprendimą.
F. Viete buvo pirmasis geometrinius metodus pakeitęs analitiniais, nors ir nepagavo bendros kv. lygties idėjos.
1) Abraham bar Hiyya ha-Nasi (lot. Savasorda, 1070-1136 arba 1145)  žydų kilmės matematikas, astronomas ir filosofas. Pirmasis ėmė ivritu rašyti mokslinius ir filosofinius veikalus, sukūrė mokslo terminiją ivrite.
Gimė ir gyveno Barselonoje. Iš arabų kalbos kartu su Platonu iš Tivolio išvertė per dešimtį matematikos ir astronomijos traktatų. Išsamūs Tikėjimo bokšto supratimo pagrindai aptaria matematikos, geometrijos, optikos, astronomijos ir muzikos klausimus. Jų išliko tik trumpi fragmentai. Manoma, kad jo dalimi buvo Traktatas apie geometriją. Žemės forma pateikia žemės ir dangaus susidarymo klausimus. Astronomijai skirti Žvaigždžių kelių paskaičiavimas ir Princo lentelės. Apmąstymai apie sielą  etikos traktatas, o Atskleidėjo ritinys  prieštaringas kūrinys, įtraukiantis filosofines idėjas ir ginantis teoriją, kad mesijas turi pasirodyti 5118 m. (t.y. 1358 m.).
Matematikoje pirmasis aprašė kvadratinės lygties bendruoju pavidalu sprendimą. Pateikė geometrinį nedalomųjų metodą bet kokio skritulio ploto radimui. Taip pat padarė įtaką Fibonačiui.
Jo filosofija buvo neoplatonizmo ir aristotelizmo mišinys, tačiau jis laikosi požiūrio, kad tikras žinių šaltinis yra tik Tora. Anot Abraomo, materija ir forma egzistavo iki sutveriant pasaulį ir buvo tohu va-vohu (beformė ir tuščia). Visi daiktai buvo sutverti aktualizuojant ir derinant pirmaprades materiją ir formas. Žmogus randasi 4-oje hierarchijos pakopoje, o virš jo, 5-ojoje  Izraelio tauta. Tiesa, ir likusi žmonijos dalis gali kilstelėti į šią pakopą, jei priims tiesos kelią.
Viena materijos atmainų yra ir siela, kuri po mirties grįžta į angelų pasaulį, vieną iš 5-ių iš šviesos pasaulių. Sielos yra 4 klasių: išmintingos ir teisuoliškos sielos kyla į aukščiausią lygį ir susilieja su gryna forma, išmintingos ir nusidėjusios sielos patenka į karščio pasaulį, teisuoliškos, bet neišmintingos sielos vėl atgimsta žemiškajam gyvenimui, o likusios tiesiog dingsta po mirties.
2) Aryabhata I (476550)  indų matematikas ir astronomas. Jo kūriniai: Aryabhatiya ir Arya-siddhanta (neišlikęs). Ypač glaustą Aryabhatiya sudaro 4 dalys, parašytos eilėmis (viso 123 šlokai): dašagitika (skaičių sistema, astronominės konstantos ir sinusų lentelė), ganitapada (matematika), kalakrija (kalendorius, planetų judėjimai), golapada (sferinės geometrijos pagrindai ir užtemimų paskaičiavimas). Aprašomas kvadratinės ir kubinės šaknies traukimas, skritulio ploto ir rutulio tūrio formulės, pateikiama apytikslė p reikšmė ( 3,1416 ) ir kt. Joje pateikiama ir gana tikslūs Žemės ir Mėnulio išmatavimai.
Aryabhata sinuso (zia) koncepciją aptarė traktate Ardha-džyja (Stygos pusė, dėl paprastumo jį imta vadinti Džyja). Arabams išvertus jį iš sanskrito, jie jį vadino džiba (arabų kalboje beprasmis žodis), o kadangi arabų kalboje balsės praleidžiamos, tai jis buvo užrašomas kaip džb. Vertėjai į lotynų kalbą jį palaikė džaib, kas reiškia kišenė, klostė (įduba, užantis). Vėliau, 12 a., Žerardo iš Kremonos jį pakeitė lotynišku sinus (reiškiančiu maždaug tą patį, kaip džaib) atitikmeniu (reiškiančiu), kuris vėliau perėjo į kitas Europos kalbas.3) Al-Chorezmis (Muhammad ibn Musa al-Khwarizmi, apie 780-850) - uzbekų kilmės islamo matematikas ir astronomas, geografas ir istorikas. Manoma, kad gimė Chorezmio regione, į pietus nuo Aralo jūros. Gyveno Abasidų kalifato laikotarpiu. Didžiąją gyvenimo dalį praleido Bagdade, į kurį atvyko 819 m. jau susiformavęs kaip mokslininkas. Valdant kalifui al-Mamunui (813-833) vadovavo Išminties namams (Bayt al-Hikmah), kuriuose buvo susitelkę daug mokslininkų iš įvairių kraštų, buvo išversta į arabų kalbą nemažai graikų filosofijos ir mokslo veikalų. Al-Mamuno pavedimu al-Chorezmis kūrė instrumentus Žemės tūrio ir apimties išmatavimui. 827 m. Sindžaro dykumoje dalyvavo atliekant matavimus, kurie savo tikslumu buvo nepagerinti 700 m. Valdant jau kalifui al-Vasikai vadovavo ekspedicijai pas chazarus.
Daugelis jo originalių darbų arabų kalba yra dingę. Knyga apie atstatymą ir priešpastatymą (apie 830 m.) laikoma pirmuoju algebros vadovėliu. Jis taip pat suformulavo veiksmų dešimtainėje pozicinėje sistemoje taisykles. Sudarė trigonometrines lenteles su sinusų reikšmėmis. Jo į lotynų kalbą išversti matematiniai darbai daugelį amžių Europoje buvo matematikos vadovėlių pagrindu. Jis yra sudaręs astronominių lentelių, parašęs darbų apie astroliabiją, Saulės laikrodžius, kruopščiai paskaičiavo Saulės, Mėnulio ir planetų padėtis, užtemimus. Astronomijoje daugiausia rėmėsi indų astronomų darbais. Geografijai skirta jo knyga Žemės vaizdo knyga, kurioje patikslinami kai kurie Ptolemėjaus aspektai.
Jis išrado ir algoritmo koncepciją  iš tikro, net pats žodis algoritmas kilęs iš jo lotynizuotos jo vardo formos (algorithmi). Spręsdamas matematines lygtis, jis sistemingai atlikdavo nuoseklių žingsnių seką. Iš jo raštų dešimtainiai skaitmenys atėjo į Vakarus  jo knyga apie indų skaitmenis į lotynų kalbą buvo išversta kaip Algorithmi de Numero Indorum.Nulio istorija
Algebros istorija
Trikampiai skaičiai
Pitagoro teorema
Santykis ir proporcija
Kokiu greičiu skriejame?
Euklidas iš Aleksandrijos
Parabolės lenktas likimas
Indijos matematikos istorija
Gauso skaičių teorijos kursas
Pagrindinė aritmetikos teorema
Pagrindinės algebrinės struktūros
Matematika Egipte ir Finikijoje
Matematikos pradžia Lietuvoje
Didžioji Ferma teorema
Iniciatyva: Matematikos keliu
Skaičiai  apžvalga/ pradmenys
Mokslo riboženkliai: 1867-ieji  kartų kaita
Evaristas Galua: matematikos genijus ir revoliucionierius
Klasikinės neišsprendžiamos geometrinės konstrukcijos
Matematika Egipte: Rindo papirusas ir kt.
Kirmgrauža tarp matematikos sričių
A. Puankarė. Mokslas ir hipotezė
Šiuolaikiniai iškilūs matematikai
Graikų matematikai - filosofai
Didžiausias bendras daliklis
Pjeras Simonas Laplasas
Matematiniai anekdotai
Dalyba iš nulio
Žanas Furjė
Vartiklis