Skaičius 8
Atrodytų, kuo čia ypatingas tas skaičius 8 - eina po 7 ir yra prieš 9. Dar 2 kubas ir 4 kvadratas ir na ... jis pirmasis, kuris nėra nei pirminis, nei pusiau pirminis. Tačiau iš tikro jis gana svarbus  ir ne tik matematikoje, bet ir įvairių šalių mituose, mistiniuose ir filosofiniuose išvedžiojimuose. O matematikoje galima paminėti ir kitas jo išskirtines savybes:
jis yra aštuontainės skaičiavimo sistemos pagrindu; jis yra Fibonačio sekos narys (3+5)  ir vienintelis teigiamas skaičius šioje sekoje esantis tobulu kubu; tai mažiausios ne-abelinės grupės, kurios visi pogrupiai yra normuoti, laipsnis. Taip pat skaitykite Nepaprasti skaičiai: skaičius 42
Sferos užpildymas
Dviem labiausiai simetriniais būdais užpildyti plokštumą skrituliais yra kvadratinė gardelė (Z2):

... ir šešiakampė gardelė (A2), kurioje užpildymas 2D yra tankiausias:

Z2 skritulių centrai yra taip pat atskiri kompleksiniai skaičiai, vadinami Gauso sveikaisiais skaičiais, kurie sudaro žiedą, t.y. uždari sudėties ir daugybos atžvilgiu.
A2 skritulių centrai w vadinami Eizenšteino sveikaisiais skaičiais1) ir taip pat sudaro žiedą, nes w3=1Eizenšteino sveikieji skaičiai sudaro trikampę gardelę kompleksinių skaičių plokštumoje (panašiai, kaip Gauso skaičiai sudaro kvadratinę gardelę). Šiuos skaičius nagrinėjo vokiečių matematikas F. Eizenšteinas.
Trimatę erdvę atitinkamai galime simetriškai užpildyti kubine gardele (Z3) arba tankiausia šešiakampe gardele (A3). Zn ir An išlieka ir aukštesniuose matavimuose, tačiau užpildymo tankis juose krenta:
n Zn tankis An tankis 1 100% 100% 2 79% 91% 3 52% 74% 4 31% 55% Tačiau Z4 pateikia siurprizą!
Atstumai tarp sferų Z4 gardelėje yra tokie dideli, kad į tarpus gali tilpti dar viena Z4 gardelė  ir taip padvigubinti užpildymo tankį!
Tą naują gardelę vadiname D4 - ir tai tankiausias užpildymas 4D!Kad tai įmanoma, parodo toks paskaičiavimas:
Tegu sferų centrai yra taškuose su sveikųjų skaičių koordinatėmis (n1, n2, n3, n4).
Kiekvienas centras yra atstumu 1 nuo artimiausių kaimynų.
Tada naujos sferos yra apie taškus (n1+1/2, n2+1/2, n3+1/2, n4+1/2).
Jos bus vis tiek pakankamai toli, nes kvadratinė šaknis:

D4 gardelės taškai yra specialūs kvarternionai, vadinami Hurvičiaus sveikaisiais skaičiais
a+bi+cj+dk
kur a, b, c, d arba sveikieji skaičiai, arba sveikieji skaičiai su puse. Jie taip pat sudaro žiedą. Kiekvienas jų turi 24 artimiausius kaimynus.
D4 gardelės sutinkamos visuose matavimuose n >= 4, tačiau užpildymo jomis tankis krenta.Ir vėlgi, siurprizas laukia 8-me matavime!
Istorija kartojasi. Joje vėl atsiranda pakankamai vietos, kad sutilptų dar viena D8 gardelė. Naujai sudaryta gardelė žymima E8 - ir ji tankiausiai užpildo 8-tę erdvę.Jos centrų taškai sudaro oktonionų, vadinamų Kelio sveikaisiais skaičiais (pagal A. Kelį), žiedą. Kiekvienas jų turi 240 artimiausių kaimynų.
O visos minėtos gardelės sukuria simetrines grupes, kurios vadinamos pusiau paprastomis Li grupėmis. E8 gardelei ji pati sudėtingiausia ir toji grupė vadinama E8. Bet tai jau kitos, gerokai ilgesnio, keistesnio ir labiau nepaprasto pasakojimo tema...
Apie E8 daugiau skaitykite >>>>> ...
Kvaternionai
1835 m. V. Hamiltonas įrodė, kad kompleksinius skaičius galima suprasti kaip realiųjų skaičių poras, t.y.
a+bi=(a,b)Tada Hamiltonas pabandė įvesti trejetus:
a+bi+cj=(a,b,c)Jo pastangos vainikavosi 1843 m. spalį:
Kasryt minėto mėnesio pradžioje einant pusryčiauti tavo (tada) mažasis brolis Viljamas Edvinas ir tu pats klausdavote manęs: Tėti, ar tu gali sudauginti trejetus? Aš visad buvau priverstas atsakyti, liūdnai papurtydamas galvą: Ne, aš galiu tik sudėti ir atimti juos.Atrodo, kad Hamiltonas siekė sukurti trimatę sunormintą algebrą su dalyba, t.y. algebrą virš lauko su apibrėžta dalyba.
O griežčiau:
Tegu (AF, Å) yra algebra su vienetu, kur AF yra vektorinė erdvė virš lauko F.
Tada (AF, Å) yra sunorminta algebra su dalyba, jei AF yra vektorinė erdvė su norma, kuriai:
kiekvienam a ir b iš AF, |aÅb|=|a| |b|, kur ||a|| žymi a normą.T.y. turime baigtinio mato vektorinę erdvę su apibrėžta daugyba (·), turinčia vienetą (1) ir normą ||:AF->[0,¥), kurioje, be to:
1·a=a=a·1
a·(b+c)=a·b+a·c
(b+c)·a = b·a+c·a
(a·b)·c=a·(b·c)=b·(a·c)
kur a - realusis skaičius:
|a+b|<=|a|+|b|
|a|=0 Û a=0
|a·b|=|a|·|b|Hamiltonas jos dar nežinojo, tačiau galioja
Teorema. Sunormintos algebros su dalyba matavimai gali būti tik šie: 1, 2, 4, 8
Ir pagaliau 1843 m. spalio 16-ą, su žmona vaikštinėdamas palei Dublino Karališkąjį kanalą, Hamiltonas staiga atrado 4-tę sunormintą algebrą su dalyba, kurią vėliau pavadino kvaternionais, kuriems:
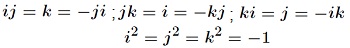
i2=j2=k2=ijk=-1
ir jis atliko savo garsųjį matematinio vandalizmo aktą  išbraižė formulę Broughamo tilto2) akmenyje.Likusį gyvenimą jis praleido tyrinėdamas kvaternionus, kurie leido derinti skaliarus ir vektorius:

Kadangi

galime parodyti, kad

Tačiau skaliarinė sandauga ir vektorinė sandaugos buvo išskirtos vėliau. Tai padarė Dž. Gibsas. Ir kvaternionai viešpatavo iki 1901-ųjų.
Oktonionai
Plačiau apie oktonionus skaitykite >>>>>
Tačiau kas per velnias yra tie oktonionai ir kodėl skaičius 8 yra toks svarbus?
Kad sudaugintumėte kvaternionus jums tereikia žinoti:
1 yra vienetas daugybai; i, j, k yra lygūs kvadratinei šakniai iš -1 
ir turėti galvoje šį piešinį:

Kai sudauginame du greta pagal rodyklę einančius narius, gauname trečią, pvz., jk=i. Tačiau daugindami prieš rodyklę, gauname neigiamą trečią narį, pvz., kj=-i.
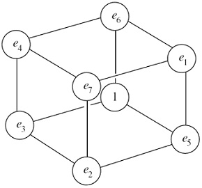
Tam, kad sudaugintume oktonionus, reikia žinoti:
1 yra vienetas daugybai; e1, e2, ..., e7 yra lygūs kvadratinei šakniai iš -1 
ir turėti galvoje šią Fano diagramą3):

Taškus Fano diagramoje atitinka linijos per kubo pradžią, o linijas Fano diagramoje atitinka plokštumos per kubo pradžią:

Vektoriai prieš sukinius
Gilesnis būdas oktonionų konstravimui yra naudojant sukinius.
Čia parodomas būdas, kaip sudauginti sukinį su vektoriumi gaunant sukinį:

Kai sukinių erdvė ir vektorinė erdvė turi tą patį matavimą, gauname ... sunormintą algebrą su dalyba!
Superstygos
Stygų teorijoje skirtingos stygų vibracijos atitinka skirtingas el. daleles. Stygos yra dvimačiai paviršiai erdvėlaikyje. Tad styga (n+2)-mačiame erdvėlaikyje gali vibruoti n kryptimis, statmenomis tam paviršiui.
Supersimetriškos stygos yra leistinos, kai n-mačių vektorių erdvė turi tą patį matavimą kaip sukinių erdvė. Tėra 4 variantai:
n=1 -> n+2=3 (realieji skaičiai);
n=2 -> n+2=4 (kompleksiniai skaičiai);
n=4 -> n+2=6 (kvaternionai);
n=8 -> n+2=10 (oktonionai).Tiesiog mistiškai tik esant n=8 įmanoma sklandi superstygų teorija, kai atsižvelgiama į kvantinės mechanikos aspektus.
Tad jei superstygų teorija yra teisinga, erdvėlaikis yra 10-matis ir stygų vibracijos, sukuriančios visas jėgas ir daleles, yra oktonionai!
Paaiškinimai:
1) Eizenšteino sveikasis skaičius - kompleksinis skaičius tokiu pavidalu: z=a+bw
kur a ir b  sveikieji skaičiai, o

2) Brumo tiltas (Broom Bridge), kartais vadinamas Broughamo tiltu, yra Brumbridžo kelyje per Karališkąjį kanalą Dubline. Pavadintas W. Broome, vieno Karališkojo kanalo kompanijos direktorių garbei. Garsus tuo, kad V. Hamiltonas ant jo 1843 m. surašė kvaternionų formules. To įvykio atminimui prie tilto pakabinta atminimo plokštelė. Matematikai iš viso pasaulio surengia kasmetinį pasivaikščiojimą nuo Dunsingo observatorijos iki šio tilto.
3) Fano plokštuma arba diagrama - dvimatė baigtinė projekcinė plokštuma, turinti minimalų kiekį taškų ir tiesių (7 taškai ir 7 linijos)  po 3 taškus kiekvienoje linijoje ir trimis tiesėmis, kertančiomis kiekvieną tašką. Pavadinta italų matematiko Dž. Fano garbei. Be kitų panaudojimų, Fano diagrama yra vienu svarbiu pavyzdžiu matroidų teorijoje; Fano diagramos pašalinimas yra būtinas apibrėžiant kai kurias svarbia matroidų klases.
Erdvės formos
Pirminiai skaičiai
Trikampiai skaičiai
Meilės sinusoidė
Pitagoro teorema
Santykis ir proporcija
Plotinas. Apie skaičius
Parabolės lenktas likimas
Kaip supakuoti standžiau?
Pagaliau: 33 per tris kubus
Nepaprasti Visatos skaičiai
Matematikos pradžia Lietuvoje
Nepaprasti skaičiai: skaičius 42
Alef paslaptis: begalybės paieškos
Aukso gysla Ramanadžano lygtims
Kita skaičiavimo metodų istorijos pusė
B. Raselas. Matematiko košmariškas sapnas
Nepaprastai suderinta Visatos sandara
Kaip išgyventi aukštesnius matavimus?
Kirmgrauža tarp matematikos sričių
Pasaulį pakeitusios diagramos
Iniciatyva: Matematikos keliu
Smeilo paradoksas
Gyvenimo gėlelė
Algebros istorija
Mazgų teorija
Topologija
Vartiklis