Bendroji reliatyvumo teorija
Taip pat skaitykite Specialioji reliatyvumo teorija
Bendroji reliatyvumo teorija (BRT) yra A. Einšteino 1916 m. paskelbta geometrinė gravitacijos teorija, išvystanti specialiąją reliatyvumo teoriją (SRT). Ji erdvę ir laiką apjungia į 4-matį erdvėlaikį, kurį iškreipia masyvūs kūnai, o tuo ir paaiškinama gravitacija. Taigi, gravitaciją sukelia ne kūnų ir laukų jėgų poveikiai, o erdvėlaikio deformacija. Pagal šią teoriją, gravitaciniame lauke laikas eina lėčiau nei už jo ribų (paskaitykite ir Mitą apie laiko pradžią).
[Beje, vos keliomis dienomis anksčiau už A. Einšteiną BRT lygtis (be kosmologinės konstantos) išvedė D. Hilbertas, tačiau savo rezultatus paskelbęs vėliau, todėl tebevyksta ginčai dėl atradimo prioriteto, nors pats D. Hilbertas to klausimo nekėlė; žr. Puankarė ir reliatyvumo teorija. Tačiau istorikai tebesiginčija dėl prioritetų ir atradimo nepriklausomumo (žr. >>>>>), mat A. Einšteinas savo darbuose arba nepateikė nuorodų į pirmtakus, arba nurodė tik kelis jų - tai vėliau ir sukėlė pretenzijas dėl reliatyvumo teorijų prioriteto.
BRT gerai patvirtina stebėjimai. Pirma sėkmė buvo Merkurijaus perihelio precesijos anomalijos paaiškinimas. Tada 1919 m. A. Edingtonas pranešė apie pastebėtą šviesos nukrypimą greta Saulės jos pilno užtemimo metu  ką irgi numatė BRT. Vėlesni stebėjimai patvirtino daugelį BRT numatytų reiškinių, tokių kaip gravitacinį laiko tėkmės sulėtėjimą, gravitacinį raudonąjį poslinkį, signalo užlaikymą gravitaciniame lauke ir, kol kas netiesiogiai, gravitacinį spinduliavimą. Be to daugelis stebėjimų aiškinami kaip BRT numatytų juodųjų skylių egzistavimo įrodymai.
Mūsiškės Paukščių tako galaktikos centre yra supermasyvi juodoji skylė (Sagittarius A), nuo mūsų nutolusi 26 švm. Stebint šalia jos esančią žvaigždę S2, gautas naujas reliatyvumo teorijos patvirtinimas.
S2 juda elipsine orbita 16 m. periodu. Ji stebima nuo 1995 m. 2018 m. gegužę buvo antrąkart stebėtas jos didžiausias suartėjimas su galaktikos centru, kai jas skyrė vos 120 a.v., o jos greitis pasiekė beveik 8 tūkst. km/sek. (3% šviesos greičio). Esant tokiam greičiui pastebimi SRT bei BRT aprašomi reliatyvistiniai reiškiniai. Buvo paskaičiuotas skersinis Doplerio efektas (dažnio sumažėjimas judant statmenai stebėjimo linijai) ir gravitacinio raudonojo poslinkio efektas (dažnio sumažėjimas dėl laiko sulėtėjimo objektui judant stipriame gravitaciniame lauke).
Vis tik mokslo visuomenėje tvyro tam tikras nepasitenkinimas, susijęs su BRT, nes, pirma, jos nepavyksta performuluoti taip, kad būtų ribiniu kvantinės mechanikos atveju, o antra, BRT pati nurodo savo taikymo ribas, nes numato erdvėlaikio singuliarumus. Būtų pasiūlyta nemažai alternatyvių teorijų, kurių dalis susijusių su kvantine teorija, tačiau eksperimentiniai duomenys rodo, kad nukrypimai nuo BRT gali būti tik nežymūs.
Pagrindiniai principai
Klasikinė Niutono mechanika remiasi tolimojo poveikio traukos jėgos, veikiančios akimirksniu, sąvoka. Tas akimirksnis poveikis nėra suderinamas su šiuolaikinės fizikos lauko sąvoka  jokia informacija negali būti perduodama greičiau nei sklinda šviesa.
Pastaba: šviesos greitį pirmąkart 1676 m. išmatavo O. Riomeris**).Matematinė Niutono gravitacijos jėga išvedama iš potencialios kūno energijos gravitaciniame lauke. Gravitacijos potencialas paskaičiuojamas pagal Puasono lygtį, nesančia invariantine Lorenco transformacijoms, kadangi specialiojoje reliatyvumo teorijoje energija nėra skaliarine reikšme ir pereina į laikinąją erdvėlaikio komponentę. Vektorinė gravitacijos teorija yra analogiška Maksvelo elektromagnetinio (EM) lauko teorijai ir numato neigiamą gravitacinių bangų energiją, kas susiję su sąveikos pobūdžiu: masės viena kitą traukia, o ne stumia, kaip EM atveju. Todėl Niutono gravitacijos teorija nesuderinama su pagrindiniu SRT principu  gamtos dėsnių invariantiškumu bet kokioje inercinėje atskaitos sistemoje, o tiesioginis vektorinis Niutono teorijos apibendrinimas, kurį 1905 m. pasiūlė
A. Puankarė (Apie elektrono dinamiką) atveda prie nepatenkinamų rezultatų. A. Einšteino surasta BRT suderinama su gamtos dėsnių invariantiškumo reikalavimu ir pagrįsta gravitacinės ir inertinės masių tapatumu.
Klasikinėje mechanikoje yra dvi masės sąvokos: pirmoji susijusi su antruoju Niutono dėsniu, o antroji  su visuotinės traukos dėsniu. Pirmoji (inertinė) masė yra kūną veikiančios negravitacinės jėgos santykis su pagreičiu. Antroji (gravitacinė) apibrėžia, kaip kūną traukia kiti kūnai ir jo paties traukos jėgą. Bendrai imant, tos dvi masės matuojamos skirtingomis sąlygomis ir todėl nebūtinai turi būti susiję, o tuo labiau  viena kitai proporcingos. Tačiau eksperimentiškai nustatytas jų proporcingumas leidžia kalbėti apie vieningą kūno masę. Kartais gravitacinės ir inertinės masių sutapimą vadina silpnuoju ekvivalentiškumo principu, kurio idėja ateina nuo Galilėjaus, o šiuolaikine forma iškelta ir 10-3 tikslumu patikrinta I. Niutono. 20 a. buvo patikrinta 10-12-10-13 tikslumu.
Jei gravitacinė jėga lygi inercinei, tai kūno, kurį teveikia gravitacinė jėga, pagreičio skaičiavimo formulėje abi masės susiprastina. Todėl kūno pagreitis ir jo trajektorija nepriklauso nuo masės ir kūno vidinės sandaros. Todėl pagreitį galima susieti su erdvės savybėmis jos taške  ir kūnų sąveiką aprašyti erdvėlaikiu, kuriame juda kūnai. Natūralu laikyti, kad kūnai juda iš inercijos, t.y., kad jų pagreitis jų atskaitos sistemoje lygus nuliui. Tada kūnų trajektorijos tampa geodezinėmis linijomis, kurių teoriją matematikai išvystė dar 19 a.
Pačias geodezines linijas galima rasti erdvėlaikyje įvedus atstumo tarp dviejų įvykių analogą, pagal tradiciją vadinamą intervalu arba pasauline funkcija. Intervalas trimatėje erdvėje ir vienmačiame laike apibrėžiamas 10-čia nepriklausomų metrikos tenzoriaus komponenčių. Toji metrika nurodo atstumą tarp dviejų be galo artimų erdvėlaikio taškų (skirtingomis kryptimis). Geodezinės linijos, atitinkančios pasaulines fizinių kūnų, judančių lėčiau už šviesos greitį, linijas yra savo didžiausio laiko pasaulinėmis linijomis  tai irgi patvirtinama eksperimentiškai.
Iš dviejų netolimų taškų lygiagrečiai paleidus du kūnus, jie gravitaciniame lauke arba ims artėti ar tolti vienas nuo kito. Tas efektas vadinamas geodezinių linijų deviacija. Analogišką efektą galime stebėti lygiagrečiai paleidus du rutuliukus ant guminės membranos, kurios centre padėtas sunkus daiktas. Rutuliukai išsiskirs  esantis arčiau centro veržis į centrą sparčiau nei esantis toliau. Tą išsiskyrimą nusprendžia membranos kreivumas. Ir BRT skirtumą nuo alternatyvių teorijų dažniausiai ir sudaro materijos ir metrikos savybių surišimo būdas.

Šviesos nuokrypis prie masyvaus kūno yra naujų astronominių reiškinių priežastimi. Jei tarp stebėtojo ir tolimo šviesos šaltinio įsiterpia masyvus kūnas, bus matomi keli išskydę to objekto vaizdai  tas reiškinys vadinamas gravitaciniu išskaidymu. Priklausomai nuo aplinkybių, vaizdų gali būti du ar daugiau, matomas vadinamasis Einšteino žiedas arba jo lankai. Pirmas toks reiškinys užregistruotas 1979 m., o iki šiol jų stebima daugiau nei šimtas. Šis reiškinys panaudojamas kaip priemonė tamsiosios materijos aptikimui ir jos pasiskirstymo paskaičiavimui.
Matematinis modelis
BRT aprašoma 10-mt diferencialinių lygčių, užrašytų tenzoriniu pavidalu.

Kairėje pusėje tenzoriai gab, Rab (Riči tenzorius) ir skaliaras R nusako erdvės kreivumą. Dešinėje pusėje energijos-impulso tenzorius Tab nusako masės ir energijos pasiskirstymą. gab vadinamas metrikos tenzoriumi arba metrika, o Rab gali būti išreikštas per metriką. Kartais Einšteino lauko lygtis užrašoma panaudojant Einšteino tenzorių

Kadangi Einšteino lygtys nenumato jokių apribojimų naudojamoms erdvėlaikio koordinatėms (t.y., pasižymi bendrosios kovariacijos savybe), tai jos riboja tik 6 iš 10-ies nepriklausomų simetrinio metrikos tenzoriaus komponenčių pasirinkimą. Todėl jų sprendinys nėra vienareikšmis įvedus kai kuriuos apribojimus metrikos komponentėms (vadinamus koordinačių sąlygomis).
Sprendžiant Einšteino lygtis su teisingai parinktomis koordinačių sąlygomis, galima rasti visas 10-mt nepriklausomų simetrinio metrikos tenzoriaus komponenčių. Tas tenzorius aprašo erdvėlaikio savybes pasirinktame taške ir yra naudojamas fizikinių eksperimentų rezultatų užrašymui.
Matematiniu požiūriu, Einšteino lygtys yra netiesinių diferencialinių dalinių išvestinių lygčių sistema metrikos tenzoriaus atžvilgiu, todėl jų sprendinių suma nėra nauju sprendiniu. Kita aplinkybė, apsunkinanti lygčių sprendimą, yra ta, kad šaltinis (energijos-impulso tenzorius) paklūsta savam lygčių rinkiniui  lygtims tos terpės, kuri užpildo nagrinėjamą sritį. Įdomu tai, kad judėjimo lygtys, jei jų yra mažiau nei keturios, išvedamos iš Einšteino lygčių dėl lokalaus energijos-impulso išlaikymo dėsnio. Ta savybė žinoma kaip Einšteino lygčių suderinamumas ir buvo pirmąkart įrodytas D. Hilberto Fizikos pagrinduose. Jei judėjimo lygčių daugiau nei keturios, tai tenka spręsti sistemą iš koordinačių sąlygų, Einšteino lygčių ir aplinkos lygčių, kas yra dar sudėtingiau. Būtent todėl labai vertinami žinomi tikslūs tų lygčių sprendiniai.
Svarbiausieji tikslūs sprendimai yra Švarcšildo sprendinys (erdvėlaikiui aplink simetrinį sferos formos masyvų neįelektrintą ir nesisukantį kūną), Raisneriio-Nordstriomo sprendinys (įelektrintam simetriniam sferos formos masyviam kūnui), R. Kero sprendinys (besisukančiam masyviam kūnui), Kero-Niumeno sprendinys (įelektrintam besisukančiam masyviam kūnui), o taip pat kosmologinis Fridmano sprendinys (visai Visatai) bei tikslūs gravitaciniai-banginiai sprendiniai.
Nors BRT sukurta kaip visuotinės traukos teorija, netrukus paaiškėjo, kad ją galima panaudoti visos Visatos modeliavimui. Pagal Fridmano sprendinį Visata privalo būti dinamine  turi plėstis, spaustis ar kitaip svyruoti. Su tokia išvada Einšteinas nenorėjo sutikti, nors ji aiškiai sekė iš lygčių be kosmologinės konstantos. Tuo tikslu ir buvo toji ir buvo įtraukta 1917 m. Tuo tarpu 1929 m. E. Hubble įrodė, kad raudonasis poslinkis rodo, kad tolimos galaktikos nuo mūsų tolsta, t.y. Visata nėra statinė ir plečiasi.
BRT problemos
Bendrojoje reliatyvumo teorijoje energijos tvermės dėsnis galioja tik lokaliai. Kai kurie fizikai tai laiko BRT trūkumu, tačiau akivaizdu, kad į bendrąjį energijos kiekį reikia įtraukti ir paties gravitacinio lauko energiją. O ši negali būti gerai apibrėžta (kaip tenzorius), kas yra dar vienas problemos veiksnys. Daugelis autorių įveda vadinamuosius energijos-impulso pseudotenzorius, turinčius tam tikras teisingas savybes, tačiau jau vien pati jų įvairovė rodo, kad nėra patikimo sprendinio. Energijos ir impulso bendruoju atveju problema išspręsta tik lokalioms sistemoms be kosmologinės konstantos.
BRT gana gerai nuspėjo daugelį kosmologinių reiškinių. Tačiau ji ima skilinėti, kai artėjama prie superhorizonto (maksimalaus atstumo, kurį šviesa įveikė nuo Visatos pradžios), kur galaktikos juda artimais šviesai greičiais; pvz., gravitacija tarsi tampa 1% silpnesnė. Todėl 2004 m. kovą J. of Cosmology and Astroparticle Physics žurnale Kanados Vaterlo ir Britų Kolumbijos un-tų mokslininkai paskelbė Einšteino formulių išplėtimą, tiek kuriuo jie dirbo apie 20 m.
Gravitacinės bangos
BRT numatė gravitacinių bangų egzistavimo galimybę. Jų intensyviai ieškoma (apie paskirstytus skaičiavimus) LIGO projekto rėmuose stebint dvinarius pulsarus. Mat pagal BRT jie turėtų skleisti gravitacines bangas ir taip prarasti energiją, o to pasėkoje nariai artėtų vienas prie kito. Įprastinėms dvinarėms žvaigždėms tas reiškinys yra per mažas, kad būtų užfiksuotas. Taip tikimasi gauti informacijos ir apie juodąsias skyles ir kitus nepaprastai tankius dangaus kūnus, tokius, kaip neutroninės žvaigždės ir baltosios nykštukės.
Nesuderinamumas su kvantine fizika
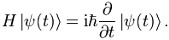
Didžiausiu BRT trūkumu yra tai, kad jai neįmanoma pritaikyti kvantinio lauko teorijos (kanonimiu būdu). Bet kurio fizikinio modelio kvantavimas vykta taip: nekvantiniame modelyje įvedamos Oilerio-Lagranžo lygtys ir apibrėžiamas sistemos lagranžianas, iš kurio išvedamas hamltonianas H, kuris tada iš įprastos dinaminių kintamųjų funkcijų sistemos pervedamas į operatorinę funkcijų sistemą. Fizikinė Hamiltono operatoriaus prasmė ta, kad jo reikšmės yra sistemos energijos lygiai. Šios procedūros ypatybė ta, kad ji reikalauja išskirti laiko parametrą, pagal kurį ir išvedama Šriodingerio tipo lygtis:

BRT atveju iškyla tokie sunkumai: a) perėjimas nuo klasikinio hamiltoniano prie kvantinio nėra vienareikšmiškas, nes dinaminių kintamųjų operatoriai tarpusavyje nekomutuoja; b) gravitacinis laukas priklauso laukams su ryšiais, kurių struktūra sudėtinga jau klasikinei erdvei, o kvantuoti juos tiesiogiai neįmanoma; c) BRT neturi išreikštos laiko krypties, kas kelia problemas dėl reikalavimo jį išskirti ir taip sukelia gauto sprendinio interpretacijos problemą.
Ir vis iki 6-o dešimtm. Gravitacinio lauko kvantavimą atliko M. Bronšteinas, P. Dirakas*), B. Devita ir kt. Paaiškėjo, kad gravitacinį lauką galima laikyti kvantiniu, neturinčiu masės, 2-ojo sukinio lauku. Papildomi sunkumai kilo bandant atlikti antrinį gravitacinio lauko sistemos kvantavimą, kurį 7-e dešimtm. atliko R. Feinmanas, B. Devita ir kt. po to, kai buvo sukurta kvantinės elektrodinamikos teorija. Paaiškėjo, kad tokio aukšto sukinio laukas trimatėje erdvėje nėra sunorminamas jokiais metodais. Buvo sukurta daug alternatyvių teorijų, pvz., superstygų teorija, išvystyta į M-teoriją, kilpinė kvantinė gravitaciją ir kt.), tačiau jos arba neišbaigtos, arba turi neišspręstų paradoksų. Blogiausia, kad jų negalima patikrinti eksperimentiškai.
Skaitykite Reliatyvumo teorija ir kvantinė mechanika
Žurnalai
Be žurnalų, skirtų bendriesiems fizikos klausimams (pvz., Review of Modern Physics, Physics Reports, Physical Review D) yra ir specializuotų žurnalų: Classical and Quantum Gravity, General Relativity and Gravitation, Living Reviews in Relativity, o taip pat Gravitacija ir kosmologija (rusų k.).
* Polis Dirakas (Paul Adrien Maurice Dirac, 1902-1984) - anglų fizikas teoretikas, vienas kvantinės mechanikos ir kvantinės elektrodinamikos kūrėjų, Nobelio premijos laureatas (1933).
1926-27 m. sukūrė kvantinės mechanikos transformacijų metodą, 1927 m. - antrinio kvantavimo metodą. 1928 m. atrado pakaitinę sąveiką. 1928 m. sukūrė elektrono judėjimo reliatyvistinę teoriją  pasiūlė banginę lygtį, nusakančią elektrono judėjimą ir tenkinančią reliatyvistinio invariantiškumo principą. Numatė elektrono antidalelę  pozitroną, elektrono ir pozitrono porų anihiliaciją. 1931 m. iškėlė elementariojo magnetinio krūvio, o 1933 m.  antimedžiagos hipotezę. Nustatė vakuumo poliarizacijos efektą. 1926 m. nepriklausomai nuo E. Fermi sukūrė pusinio sukinio dalelių statistiką. Tyrinėjo gravitacijos lauko kvantavimą.
Vertinant Diraką svarbu ne tik jo rezultatai, bet ir jų pasiekimo būdas. Čia ypatingą svarbą įgauna matematinio grožio sąvoka, nusakoma loginiu aiškumu ir teorijos nuoseklumu. Savo mokslinį darbą jis dažnai apibūdindavo kaip žaidimą su matematika, ieškant gražių lygčių, vėliau galinčių įgyti fizikinę interpretaciją (kaip pavyzdį pateikiant Dirako lygtį ir magnetinio monopolio idėją). Ypač kruopščiai rinko terminus ir žymenis, pvz., pasiūlė fermionų ir bozonų pavadinimus.**) Olė Riomeris (Ole Christensen Roemer, 1644-1710)  danų astronomas, pirmąkart, dirbdamas Paryžiaus observatorijoje, stebėdamas Jupiterio palydovus atlikęs šviesos greičio matavimą (1676, apie 220 000 km/sek.; tikrasis greitis yra beveik 300 tūkst. km/sek.), taip nustatydamas, kad jis yra baigtinis. Jis taip pat išrado šiuolaikinį termometrą, rodantį temperatūrą tarp dviejų fiksuotų taškų. 1681 m. grįžus į Daniją, buvo paskirtas karališkuoju astronomu. Būdamas Kopenhagos matematikos profesoriumi, užsiėmė observatorijos kūrimu (deja, ją 1728 m. sunaikino gaisras, sudegindamas ir daugumą Riomerio rankraščių). Taip pat sukūrė kelis astronominius instrumentus, iš kurių plačiausiai paplito mikrometras, naudojamas užtemimų stebėjimams. Be to, jis sukūrė nacionalinę matų ir svorių sistemą, įvestą 1683 m. Jo garbei pavadintas krateris Mėnulyje.
Antigravitacija
Tamsioji materija
Trumpa laiko istorija
Vieningo lauko teorija
Einšteino vieta pasaulyje
Juodųjų skylių portretas
Paslėpti erdvės matavimai
Pirmasis Einšteino įrodymas
Specialioji reliatyvumo teorija
Nepaprasti Visatos skaičiai
Pasikėsinimas į multivisatas
Tėkmė: kas atvedė prie LHC?
3-iojo tūkstantmečio mokslas
Labai suderinta Visatos sandara
Paralaksas: matavimai kosmose
Visatos topologija: pradžiamokslis
Apie reliatyvumo teorijos prioriteto nustatymą
Kvantinė mechanika: triumfas ar ribotumas?
N. Teslos tyrimų metodas ir pasaulėvaizdis
Labai prasta balerina ir šuolis laike?
Nėra paprastos visuotinės teorijos!
Paslaptingas "tamsusis srautas"
Įvairiapusis Ričardas Feinmanas
Intuicijos problema pas Puankarė
Matematikai: Anri Puankarė
Apnuoginti singuliarumai
Mitas apie laiko pradžią
Nekritinė stygų teorija
Greičiau už šviesą!
Torsioniniai laukai
Erdvės formos
Precesija
Vartiklis