Pagrindinės statistinės sąvokos
Kas yra vidurkis matematikoje?
Pradėkite ir kartu lygiagrečiai skaitykite su Statistikos sąvokų pristatymas;
Taip pat skaitykite Kada statistika gali meluoti?
Statistikoje tiriama visumos dalis vadinama imtimi. Skirtumas tarp didžiausios ir mažiausios imties reikšmių (mažiausias intervalas, apimantis visas imties reikšmes) yra vadinamas imties pločiu.
Imties vidurkis (angl. mean) gaunamas sudėjus visus skaičius ir gautą rezultatą padalijus iš elementų kiekio. Vidurkis nurodo vidutinę reikšmę, aplink kurią išsidėsčiusi visa aibė. Pvz., aibės {2, 7, 24} vidurkis yra (2+7+24) / 3 = 11
Mediana (angl. median) yra skaičių aibės vidurinis (centrinis) skaičius, kuris aibę dalija į dvi dalis  mažesnių už medianą ir didesnių už medianą. Pvz., {2, 9, 10, 39, 45} mediana yra 10.
Moda (angl. mode) yra skaičius, skaičių aibėje pasikartojantis daugiausia kartų. Pvz. , {8, 7, 3, 5, 8, 7, 8, 1} moda yra 8.
Šios trys sąvokos yra priemonės, leidžiančios statistiškai įvertinti mus nepaliaujamai bombarduojančią informaciją. Jų nereikia painioti, ypač asimetriškose imtyse.
Pvz., gyventojų pajamų vidurkį gerokai kilsteli mažas kiekis gyventojų, kurių pajamos nepapprastai aukštos  ir tada iš tikro daugumos gyventojų pajamos mažesnės už vidurkį. Tuo tarpu mediana nurodo lygį, kuriam pusės gyventojų pajamos didesnės ir pusės  mažesnės. O moda yra labiausiai tikėtinos pajamos ir pamalonina didesnį kiekį žmonių su mažomis pajamomis. Tad neretai mediana ir moda duoda intuityvesnį matą.Vidutinis nuokrypis
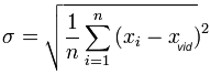
Statistika yra susijusi su duomenų analize ir daugybės skaičių triauškinimu  iš to padarant svarbias išvadas. Ir vienu svarbiausių statistinių parametrų yra standartinis nuokrypis (deviacija), apibūdinantis duomenų imties išsibarstymą. Jis lygus kvadratinei šakniai iš atsitiktinio dydžio dispersijos, kuri yra reikšmių nuokrypių nuo vidurkio kvadratų vidurkis.
Standartinis kvadratinis nuokrypis  dydis, nusakantis atsitiktinio dydžio įgyjamų reikšmių sklaidą apie vidurkį.
Matematiškai išreikšta standartinio nuokrypio formulė neatrodo esanti paprasta:

Čia N yra reikšmių kiekis, o Xvid tų reikšmių vidurkis.
Kad lengviau suprastume, kas yra vidutinis nuokrypis ir kaip jis skaičiuojamas, pateiksime konkretų pavyzdį, o skaičiavimą suskaidysime į kelis paprastus žingsnius.
Paimkime skaičių aibę {1, 5, 8, 7, 13, 11, 4}
1 žingsnis. Vidurkio paskaičiavimas.
Viso yra 7 skaičiai, kurių suma lygi 1+5+8+7+13+11+4=49
Tad jų vidurkis yra 49/7=72 žingsnis. Dispersijos paskaičiavimas.
a) Pirmiausia paskaičiuokime kiekvienos reikšmės nuokrypį nuo vidurkio (kuris lygus 7): 1-7=-6; 5-7=-2; 8- 7=1; 7-7=0; 13-7=6; 11-7=4; 4-7=-3
b) pakelkime šiuos nuokrypius kvadratu: (-6)2=36; (-2)2=4; (1)2=1; (0)2=0; (6)2=36; (4)2=16, (- 3)2=9
c) paskaičiuokime šių kvadratų vidurkį: (36+4+1+0+36+16+9)/7=102/7=14,57143
Taigi, dispersija mūsų skaičių imčiai yra lygi 14,57143
3 žingsnis. Ištraukti kvadratinę šaknį iš dispersijos.
√14,57143 = 3,8173Standartinis nuokrypis naudojamas vidurkio standartinei paklaidai, nustatant pasikliautiną intervalą, tikrinant statistines hipotezes, nustatant atsitiktinių reikšmių tiesinę priklausomybę.
Skaitykite Nulinė hipotezė.Taikymo pavyzdžiai
Klimatas. Paimkime vidutines dienos didžiausias temperatūras dviejuose miestuose, vieną žemyne, kitą pakrantėje. Pamatysime, kad pajūrio mieste jų diapazonas mažesnis, net jei abiejų vidutinės dienos didžiausios temperatūros yra tos pačios.
Sportas. Paėmus, bet kurį kategorijų rinkinį, komandos vienose kategorijose pasirodo geriau nei kitose. Gali būti, kad pirmaujančios komandos gerai atrodo visose kategorijose. Komandos, kurių standartinis nuokrypis didesnis, yra mažai prognozuojamos.
Finansai. Standartinis nuokrypis išreiškia riziką, susijusią su atskiru nagrinėjamu dalyku (akcijos, obligacijos, nuosavybė ir t.t.) arba jų portfeliu. Bendroji rizikos koncepcija yra ta, kad rizikai didėjant, laukiama grąža irgi didėja. Investuotojai turi įvertinti tiek tikimą grąžą, tiek netikėtumus. Standartinis nuokrypis suteikia kiekybinį įvertį neužtikrintai būsimai grąžai.
Svertinis vidurkis
Svertinį vidurkį 1712 m. įvedė anglų matematikas, astronomas ir filosofas Rodžeris Kotsas (1682- 1712, Roger Cotes)  inovatyvus edukatorius ir populiarintojas, antrojo Niutono Principia redaktorius. Jo darbas tebuvo paskelbtas 1722 m., 6 m. po jo mirties.
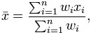
Svertinis vidurkis plačiai naudojamas ekonomikoje, ypač vartotojo ir gamintojo kainų indeksuose ir kt. Pvz., svertinis vidurkis naudotinas tokiu atveju. Tarkim, turim tris akcijų paketus: A, B ir C. Jų akcijos yra skirtingų verčių ir turime skirtingus akcijų kiekius kiekviename pakete. Už kiekvieną paketą gavome skirtingą dividentų procentą. Koks bendras vidutinis procentas?Jei turime realiųjų skaičių aibę {x1, x2, ... xn} su atitinkamais jų (teigiamais realiaisiais) svoriais {w1, w2, ... wn}, tada svertinis vidurkis paskaičiuojamas taip:

Svertinis vidurkis yra panašus į aritmetinį vidurkį, tačiau atsižvelgia į tai, kad kai kurios reikšmės yra svarbesnės - ir jeigu visi svoriai yra vienodi, tada abu šie vidurkiai sutampa. Ir nors šių vidurkių elgesys panašus, tačiau yra ir visai neintuityvių savybių, pasireiškiančių, pvz., Simpsono paradokse (sutinkamu socialiniuose ir medicinos moksluose).
Egzistuoja svertinės ir kitų vidurkių versijos  geometrinio ir harmoninio, o taip pat laipsninio, o taip pat jų apibendrinimai  Kolmogorovo vidurkis, o taip pat medianos. Svertinio vidurkio koncepcija gali būti išplėsta ir funkcijoms  ir yra svarbi svertiniame diferenciniame bei integraliniame skaičiavimuose.
Svertinis vidurkis naudojamas aprašomojoje statistikoje, o taip pat sutinkamas ir kitose matematikos srityse. Jo naudingumą pailiustruosime tokiu pavyzdžiu: tarkim, turime dvi mokinių klases, vienoje mokosi 15 mokinių, o kitoje 25 mokiniai. Abi klasės rašė to paties dalyko kontrolinį. Žinome, kad pirmos grupės įvertinimų vidurkis yra 60, o kitos 80. Mūsų klausia, koks bendras abiejų klasių vidurkis?
Atsakymas 70 = (60+80)/2 yra neteisingas, nes grupėse skirtingas mokinių skaičius (kitaip tariant, skirtingi svoriai). Bendrą vidurkį paskaičiuotume, jei žinotume kiekvieno mokinio įvertinimą. Tačiau tai nėra būtina, nes galime pasinaudoti svertiniu vidurkiu:
(60 * 15 + 80 * 25) / (15+25) = (900 + 2000) / 40 = 72,5Kai svoriai normalizuoti (t.y., kai svorių suma lygi 1), svertinis vidurkis tampa matematine viltimi (vidurkiu) ir pats yra atsitiktinis dydis.
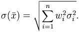
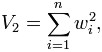
Nekoreliuojantiems stebėjimams su standartiniais nuokrypiais si, svertinis skirtinio vidurkis turi standartinį nuokrypį:

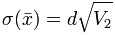
Tuo atveju, kai visų stebėjimų standartiniai nuokrypiai vienodi (d = si), svertinis skirtinio vidurkis bus lygus standartiniam nuokrypiui:

čia: V2 yra dydis, toks, kad
. Jis turi minimalią reikšmę, kai visi svoriai vienodi, o maksimalią, kai visi svoriai, išskyrus vieną, yra lygūs 0. Antruoju atveju turime
, susijusią su centrine ribine teorema.
Geometrinis vidurkis
Geometrinis vidurkis  vidurkis, skaičiuojamas sudauginant visas sekos {a1, a2, ... an} reikšmes ir ištraukiant n-tojo laipsnio šaknį:

Geometrinis vidurkis yra atskiras vidurkio laipsniu atvejis (M0) ir yra vienas iš Pitagoro vidurkių.
Kai n=2, geometrinis vidurkis (G) susijęs su aritmetiniu (A) ir harmoniniu (H) vidurkiais sąryšiu

Kai visų sekos elementų svoriai vienodi, geometrinis vidurkis sutampa su svertiniu vidurkiu.
Kaip ir bet kurio vidurkio, geometrinio vidurkio reikšmė yra tarp mažiausio ir didžiausio sekos skaičių.
L. Hoehn'as ir I. Niven'as (1985) įrodė, kad bet kokiai teigiamai konstantai c yra teisinga:

Stataus trikampio aukštinė, nuleista iš stataus kampo į įžambinę, yra statinių projekcijų į įžambinę geometrinis vidurkis:


Vidurkis (aritmetinis) naudojamas, kai įvykiai nėra tarpusavyje susiję. Bet tarkim, jūsų metinė return buvo 90%, 10%, 20%, 30% ir -90%. Koks buvo vidutinis? Paėmę vidurkį, gausime 12%. Tačiau, skaičiuojant metinius finansinius rodiklius, jie nėra nesusiję tarpusavyje. Jei vienais metais patirsite nuostolį, kitais metais turėsite mažesnį kapitalą. Tad šioje situacijoje reikia skaičiuoti geometrinį vidurkį, kad gautume tikslesnę realią reikšmę 5 m. laikotarpiui. Tam, prie kiekvieno skaičiaus pridedame po 1 (kad išvengtume neigiamų skaičių), paskaičiuojame geometrinį vidurkį, ir atimame vienetą:
[(1.9 x 1.1 x 1.2 x 1.3 x 0.1) ^ 1/5] - 1
Gausime 20.08%, kas gerokai mažiau nei 12%, tačiau atspindi realią situaciją.Proporcionalūs vidurkiai
Geometrinis vidurkis dar vadinamas proporcionaliu vidurkiu. Jį galima užrašyti kaip proporciją:
a / x = x / b, t.y., x2 = abKartais reikia rasti du geometrinius vidurkius tarp dviejų duotų reikšmių. Tai išreiškiama santykiais:
a / x = x / y = y / bPvz., jei a = 3 ir b = 24, tada x = 6 ir y = 12
Paskaičiuoti galima paprasčiau, jei pastebėsime dėsningumą. Išrašykime visus skaičius:
3, 6, 12, 24
t.y. galima spėti, kad kiekvienas naujas skaičius šioje sekoje yra ankstesnis padaugintas iš to paties santykio r (mūsų atveju 2). Todėl, turėdami a ir b, galime užrašyti lygtį b = a r3 , ir randame santykį r=(b/a)1/3Apibendrinimas:
Esantgeometrinis vidurkis tampa Kolmogorovo vidurkiu.
Hoehn, L. and Niven, I. "Averages on the Move." Math. Mag. 58, 151-156, 1985 Harmoninis vidurkis
Skaičių sekos {a1, a2, ... an} harmoninis vidurkis apibrėžiamas taip:

Harmoninis vidurkis yra vidurkis laipsniu -1 ir yra vienas iš Pitagoro vidurkių.
Harmoninis vidurkis yra ne didesnis už aritmetinį ir geometrinį vidurkius.
Statistikoje harmoninis vidurkis naudojamas, kai, ieškant aritmetinio vidurkio, reikšmės pateiktos atvirkštinėmis.
Trapecijos atkarpos, einančios lygiagrečiai pagrindams per įstrižainių susikirtimo tašką, ilgis yra lygus pagrindų harmoniniam vidurkiui:

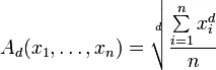
Vidurkis laipsniu (apibendrintasis vidurkis)
Skaičių sekos {x1, x2, ... xn} vidurkis laipsniu d yra apibrėžiamas taip:

Matematinė viltis
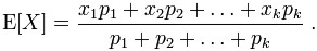
Tarkim, kad turime n atsitiktinių įvykių x1, x2, ... xn, kurių tikimybės yra p1, p2, ... pn ir tikimybių suma lygi 1 ( p1 + p2 + ... + pn=1 ).
T.y. turime atsitiktinio dydžio skirstinį:
X x1 x2 ... xn P p1 p2 ... pn Tada matematinė viltis arba atsitiktinio dydžio vidurkis paskaičiuojama taip:

Matematinė viltis paprastai žymima E[X] (nuo angl. Expected value arba vok. Erwartungswert, o rusiškuose šaltiniuose M[X] (matyt, nuo angl. Mean value arba vok. Mittelwert). Statistikoje neretai naudojamas žymuo m.
Kadangi visų tikimybių suma lygi 1, tai matematinę viltį galima laikyti visų galimų reikšmių svertiniu vidurkiu:

(jei visos tikimybės vienodos, t.y. p1=p2= ... pn, tada matematinė viltis tiesiog sutampa su vidurkiu)
Matematinės vilties prasmę galima intuityviai suprasti iš didelių skaičių dėsnio: tai tarsi riba, prie kurio artėja vidurkis, imčiai plečiantis iki begalybės, pvz., ilgai kartojant kokį veiksmą (pvz., mėtant žaidimų kauliuką). Pati reikšmė nebūtinai galima sveiko proto prasme (pvz., turėti, 2,67 vaiko).
Beje, matematinė viltis neegzistuoja kai kuriems pasiskirstymams su ilga uodega (pvz., Koši pasiskirstymams).
Apibendrintas apibrėžimas
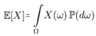
Tegu duota tikimybinė erdvė
su joje apibrėžtu atsitiktiniu dydžiu X, t.y., pagal apibrėžimą,
- išmatuojama funkcija. Jei W erdvėje egzistuoja Lebego integralas pagal X, tai jis vadinamas matematine viltimi:

Čia reikia atkreipti dėmesį, kad ne visos atsitiktinės reikšmės turi baigtinę matematinę viltį, nes integralas nebūtinai visąlaik konverguoja, o kai kuriais atvejai net nėra apibrėžtas (Koši pasiskirstymui). Du atsitiktiniai dydžiai su ta pačia tikimybe turės tą pačią matematinę viltį (jei toji apibrėžta).
Pirminiai skaičiai
Tenzoriaus samprata
Loterijų matematika
Aritmetikos pagrindai
Matematiniai anekdotai
Kur viešpatauja chaosas?
Monte-Karlo metodas
Kokiu greičiu skriejame?
Statistikos sąvokų pristatymas
Pirmasis Einšteino įrodymas
Kirmgrauža tarp matematikos sričių
Kada statistika gali meluoti?
Parabolės lenktas likimas
Iniciatyva: Matematikos keliu
Kombinatorika, polinomai, tikimybės
VU Matematikos fakultetas pokariu
Pagrindinės algebrinės struktūros
Mokslininkui nereikia matematikos!
Endre Szemeredi darbų esmė ant pirštų
Simpsonų trauka ir žaidimas skaičiais
Geriausios alternatyvos parinkimas
Matematikos atgimimas Lietuvoje
Žaidimų teorijos panaudojimas
Nepaprasti Visatos skaičiai
Didžioji Ferma teorema
Laplasas. Dėl tikimybių
Nekritinė stygų teorija
Santykis ir proporcija
Tūkstantmečio problemos
Matematikos blogas
Poetinė geometrija
Nulinė hipotezė
Vartiklis